Suppr超能文献

乙酰马啉对雄性和雌性大鼠肾缺血/再灌注损伤的预防作用。

The preventive effects of diminazene aceturate in renal ischemia/reperfusion injury in male and female rats.

作者信息

Malek Maryam, Nematbakhsh Mehdi

机构信息

Water & Electrolytes Research Center, Department of Physiology, Isfahan University of Medical Sciences, Iran.

Water & Electrolytes Research Center, Department of Physiology, Isfahan University of Medical Sciences, Iran ; Isfahan MN Institute of Basic & Applied Sciences Research, Isfahan, Iran.

出版信息

Adv Prev Med. 2014;2014:740647. doi: 10.1155/2014/740647. Epub 2014 Nov 13.

Abstract

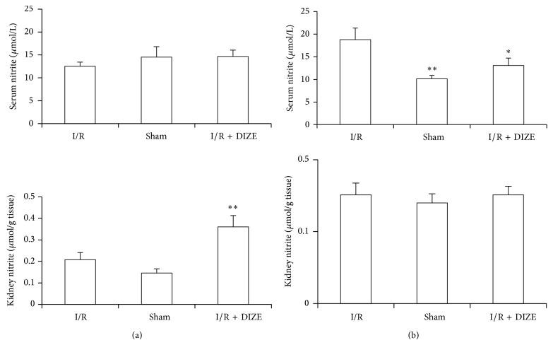
Background. Angiotensin-converting enzyme 2/angiotensin (1-7)/Mas receptor (ACE2/Ang-1-7/MasR) appears to counteract most of the deleterious actions of angiotensin-converting enzyme/angiotensin II/angiotensin II receptor 1 (ACE/Ang II/AT1R) in renal ischemia/reperfusion (I/R) injury but ACE2 activity and its levels are sexually dimorphic in the kidney. This study was designed to evaluate the effects of activation endogenous ACE2 using the diminazene aceturate (DIZE) in renal I/R injury in male and female rats. Methods. 36 Wistar rats were divided into two groups of male and female and each group distinct to three subgroups (n = 6). I/R group was subjected to 45 min of bilateral ischemia and 24 h of reperfusion, while treatment group received DIZE (15 mg/kg/day) for three days before the induction of I/R. The other group was assigned as the sham-operated group. Results. DIZE treatment in male rats caused a significant decrease in blood urea nitrogen (BUN), creatinine, liver functional indices, serum malondialdehyde (MDA), and increase kidney nitrite levels (P < 0.05), and in female rats a significant increase in creatinine and decrease serum nitrite levels compared to the I/R group (P < 0.05). Conclusions. DIZE may protect the male kidney from renal I/RI through antioxidant activity and elevation of circulating nitrite level.

摘要

背景。血管紧张素转换酶2/血管紧张素(1-7)/Mas受体(ACE2/Ang-1-7/MasR)似乎可抵消血管紧张素转换酶/血管紧张素II/血管紧张素II受体1(ACE/Ang II/AT1R)在肾脏缺血/再灌注(I/R)损伤中的大多数有害作用,但ACE2活性及其水平在肾脏中存在性别差异。本研究旨在评估使用乙酰氧苯脒(DIZE)激活内源性ACE2对雄性和雌性大鼠肾脏I/R损伤的影响。方法。36只Wistar大鼠分为雄性和雌性两组,每组再分为三个亚组(n = 6)。I/R组经历45分钟的双侧缺血和24小时的再灌注,而治疗组在诱导I/R前三天接受DIZE(15毫克/千克/天)治疗。另一组作为假手术组。结果。与I/R组相比,DIZE治疗使雄性大鼠的血尿素氮(BUN)、肌酐、肝功能指标、血清丙二醛(MDA)显著降低,肾脏亚硝酸盐水平升高(P < 0.05),使雌性大鼠的肌酐显著升高,血清亚硝酸盐水平降低(P < 0.05)。结论。DIZE可能通过抗氧化活性和循环亚硝酸盐水平的升高保护雄性肾脏免受肾脏I/RI损伤。

https://cdn.ncbi.nlm.nih.gov/pmc/blobs/05dd/4247946/ef29365d6a81/APM2014-740647.001.jpg

文献AI研究员

20分钟写一篇综述,助力文献阅读效率提升50倍。

立即体验

用中文搜PubMed

大模型驱动的PubMed中文搜索引擎

马上搜索

文档翻译

学术文献翻译模型,支持多种主流文档格式。

立即体验