Suppr超能文献

阿魏酸和γ-谷维素对高脂高糖饮食诱导的大鼠代谢综合征的影响。

Effects of ferulic acid and γ-oryzanol on high-fat and high-fructose diet-induced metabolic syndrome in rats.

作者信息

Wang Ou, Liu Jia, Cheng Qian, Guo Xiaoxuan, Wang Yong, Zhao Liang, Zhou Feng, Ji Baoping

机构信息

College of Food Science & Nutritional Engineering, China Agricultural University, Beijing, China.

China National Research Institute of Food & Fermentation Industries, Beijing, China.

出版信息

PLoS One. 2015 Feb 3;10(2):e0118135. doi: 10.1371/journal.pone.0118135. eCollection 2015.

Abstract

BACKGROUND

The high morbidity of metabolic dysfunction diseases has heightened interest in seeking natural and safe compounds to maintain optimal health. γ-Oryzanol (OZ), the ferulic acid (FA) ester with phytosterols, mainly present in rice bran has been shown to improve markers of metabolic syndrome. This study investigates the effects of FA and OZ on alleviating high-fat and high-fructose diet (HFFD)-induced metabolic syndrome parameters.

METHODS

Male SD rats were fed with a regular rodent diet, HFFD, or HFFD supplemented with 0.05% FA or 0.16% OZ (equimolar concentrations) for 13 weeks. Food intake, organ indices, serum lipid profiles, glucose metabolism, insulin resistance (IR) index and cytokine levels were analyzed. The mechanisms were further investigated in oleic acid-stimulated HepG2 cells by analyzing triglyceride (TG) content and lipogenesis-related gene expressions.

RESULTS

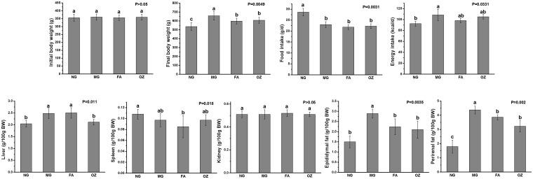
In the in vivo study, FA and OZ exhibited similar effects in alleviating HFFD-induced obesity, hyperlipidemia, hyperglycemia, and IR. However, only OZ treatment significantly decreased liver index and hepatic TG content, lowered serum levels of C-reactive protein and IL-6, and increased serum concentration of adiponectin. In the in vitro assay, only OZ administration significantly inhibited intracellular TG accumulation and down-regulated expression of stearoyl coenzyme-A desaturase-1, which might facilitate OZ to enhance its hepatoprotective effect.

CONCLUSION

OZ is more effective than FA in inhibiting hepatic fat accumulation and inflammation. Thus, FA and OZ could be used as dietary supplements to alleviate the deleterious effects of HFFD.

摘要

背景

代谢功能障碍疾病的高发病率激发了人们对寻找天然安全化合物以维持最佳健康状态的兴趣。γ-谷维素(OZ)是一种与植物甾醇结合的阿魏酸(FA)酯,主要存在于米糠中,已被证明可改善代谢综合征指标。本研究调查了FA和OZ对减轻高脂高糖饮食(HFFD)诱导的代谢综合征参数的影响。

方法

将雄性SD大鼠分别喂食常规啮齿动物饮食、HFFD或补充0.05% FA或0.16% OZ(等摩尔浓度)的HFFD,持续13周。分析食物摄入量、器官指数、血脂谱、葡萄糖代谢、胰岛素抵抗(IR)指数和细胞因子水平。通过分析油酸刺激的HepG2细胞中的甘油三酯(TG)含量和脂肪生成相关基因表达,进一步研究其作用机制。

结果

在体内研究中,FA和OZ在减轻HFFD诱导的肥胖、高脂血症、高血糖和IR方面表现出相似的效果。然而,只有OZ治疗显著降低了肝脏指数和肝脏TG含量,降低了血清C反应蛋白和IL-6水平,并提高了血清脂联素浓度。在体外试验中,只有OZ给药显著抑制细胞内TG积累,并下调硬脂酰辅酶A去饱和酶-1的表达,这可能有助于OZ增强其肝脏保护作用。

结论

在抑制肝脏脂肪积累和炎症方面,OZ比FA更有效。因此,FA和OZ可作为膳食补充剂,以减轻HFFD的有害影响。

https://cdn.ncbi.nlm.nih.gov/pmc/blobs/a3d6/4315454/fc05593cf2a9/pone.0118135.g001.jpg

文献AI研究员

20分钟写一篇综述,助力文献阅读效率提升50倍。

立即体验

用中文搜PubMed

大模型驱动的PubMed中文搜索引擎

马上搜索

文档翻译

学术文献翻译模型,支持多种主流文档格式。

立即体验