Zhang Yan-Wei, Zhang Jiu-Quan, Liu Chen, Wei Ping, Zhang Xiao, Yuan Qiao-Ying, Yin Xun-Tao, Wei Lu-Qing, Cui Jin-Guo, Wang Jian
Department of Radiology, Southwest Hospital, Third Military Medical University, Chongqing 400038, China.
Chin Med J (Engl). 2015 Feb 20;128(4):465-71. doi: 10.4103/0366-6999.151082.
Little attention has been paid to the role of subcortical deep gray matter (SDGM) structures in type 2 diabetes mellitus (T2DM)-induced cognitive impairment, especially hippocampal subfields. Our aims were to assess the in vivo volumes of SDGM structures and hippocampal subfields using magnetic resonance imaging (MRI) and to test their associations with cognitive performance in T2DM.
A total of 80 T2DM patients and 80 neurologically unimpaired healthy controls matched by age, sex and education level was enrolled in this study. We assessed the volumes of the SDGM structures and seven hippocampal subfields on MRI using a novel technique that enabled automated volumetry. We used Mini-Mental State Examination and Montreal Cognitive Assessment (MoCA) scores as measures of cognitive performance. The association of glycosylated hemoglobin (HbA1c) with SDGM structures and neuropsychological tests and correlations between hippocampal subfields and neuropsychological tests were assessed by partial correlation analysis in T2DM.
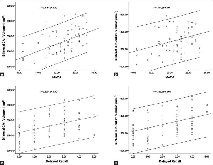
Bilaterally, the hippocampal volumes were smaller in T2DM patients, mainly in the CA1 and subiculum subfields. Partial correlation analysis showed that the MoCA scores, particularly those regarding delayed memory, were significantly positively correlated with reduced hippocampal CA1 and subiculum volumes in T2DM patients. Additionally, higher HbA1c levels were significantly associated with poor memory performance and hippocampal atrophy among T2DM patients.
These data indicate that the hippocampus might be the main affected region among the SDGM structures in T2DM. These structural changes in the hippocampal CA1 and subiculum areas might be at the core of underlying neurobiological mechanisms of hippocampal dysfunction, suggesting that degeneration in these regions could be responsible for memory impairments in T2DM patients.
皮质下深部灰质(SDGM)结构在2型糖尿病(T2DM)所致认知障碍中的作用,尤其是海马亚区,一直未得到足够关注。我们的目的是利用磁共振成像(MRI)评估SDGM结构和海马亚区的活体体积,并测试它们与T2DM患者认知表现的相关性。
本研究共纳入80例T2DM患者和80例年龄、性别和教育水平相匹配的神经功能正常的健康对照者。我们使用一种能够实现自动容积测量的新技术,在MRI上评估SDGM结构和七个海马亚区的体积。我们使用简易精神状态检查表和蒙特利尔认知评估(MoCA)评分作为认知表现的衡量指标。通过T2DM患者的偏相关分析评估糖化血红蛋白(HbA1c)与SDGM结构及神经心理学测试的相关性,以及海马亚区与神经心理学测试之间的相关性。
双侧海马体积在T2DM患者中较小,主要在CA1和下托亚区。偏相关分析显示,MoCA评分,尤其是关于延迟记忆的评分,与T2DM患者海马CA1和下托体积减小显著正相关。此外,较高的HbA1c水平与T2DM患者记忆力差和海马萎缩显著相关。
这些数据表明,海马可能是T2DM中SDGM结构中主要受影响的区域。海马CA1和下托区域的这些结构变化可能是海马功能障碍潜在神经生物学机制的核心,表明这些区域的退化可能是T2DM患者记忆障碍的原因。