Su Yin-Di, Su Tzu-Rong, Wen Zhi-Hong, Hwang Tsong-Long, Fang Lee-Shing, Chen Jih-Jung, Wu Yang-Chang, Sheu Jyh-Horng, Sung Ping-Jyun
Department of Marine Biotechnology and Resources, Asia-Pacific Ocean Research Center, National Sun Yat-sen University, Kaohsiung 804, Taiwan.
National Museum of Marine Biology and Aquarium, Pingtung 944, Taiwan.
Mar Drugs. 2015 Feb 13;13(2):1037-50. doi: 10.3390/md13021037.
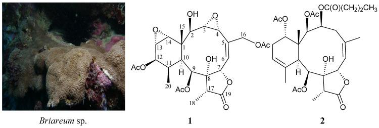
Two new briarane-type diterpenoids, briarenolides K (1) and L (2), were isolated from an octocoral identified as Briareum sp. The structures of new briaranes 1 and 2 were elucidated by spectroscopic methods. In the in vitro anti-inflammatory effects test, briaranes 1 and 2 were found to significantly inhibit the accumulation of the pro-inflammatory iNOS protein of the lipopolysaccharide (LPS)-stimulated RAW264.7 macrophage cells.
从一种鉴定为短指软珊瑚属(Briareum sp.)的八放珊瑚中分离出两种新的刺柏烷型二萜类化合物,刺柏醇内酯K(1)和L(2)。通过光谱方法阐明了新刺柏烷类化合物1和2的结构。在体外抗炎作用试验中,发现刺柏烷类化合物1和2能显著抑制脂多糖(LPS)刺激的RAW264.7巨噬细胞中促炎诱导型一氧化氮合酶(iNOS)蛋白的积累。