Qiao Zhen, Guo Yuming, Yu Weiwei, Tong Shilu
School of Public Health and Social Work, Queensland University of Technology, Brisbane, Australia.
Environ Health Perspect. 2015 Aug;123(8):766-72. doi: 10.1289/ehp.1307606. Epub 2015 Mar 20.
Mortality displacement (or "harvesting") has been identified as a key issue in the assessment of the temperature-mortality relationship. However, only a few studies have addressed the "harvesting" issue and findings have not been consistent.
We examined the potential impact of both short- and long-term harvesting effects on heat-related deaths in Brisbane, Australia.
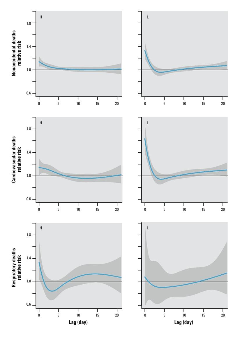
We collected data on daily counts of deaths (nonaccidental, cardiovascular, and respiratory), weather, and air pollution in Brisbane from 1 January 1996 to 30 November 2004. We estimated heat-related deaths, identified potential short-term mortality displacement, and assessed how and to what extent the impact of summer temperature on mortality was modified by mortality in the previous winter using a Poisson time-series regression combined with distributed lag nonlinear model (DLNM).
There were significant associations between temperature and each mortality outcome in summer. We found evidence of short-term mortality displacement for respiratory mortality, and evidence of longer-term mortality displacement for nonaccidental and cardiovascular mortality when the preceding winter's mortality was low. The estimated heat effect on mortality was generally stronger when the preceding winter mortality level was low. For example, we estimated a 22% increase in nonaccidental mortality (95% CI: 14, 30) with a 1°C increase in mean temperature above a 28°C threshold in summers that followed a winter with low mortality, compared with 12% (95% CI: 7, 17) following a winter with high mortality. The short- and long-term mortality displacement appeared to jointly influence the assessment of heat-related deaths.
We found evidence of both short- and long-term harvesting effects on heat-related mortality in Brisbane, Australia. Our finding may clarify temperature-related health risks and inform effective public health interventions to manage the health impacts of climate change.
死亡替代(或“收割”)已被确定为评估温度与死亡率关系中的一个关键问题。然而,仅有少数研究探讨了“收割”问题,且研究结果并不一致。
我们研究了短期和长期收割效应对于澳大利亚布里斯班与高温相关死亡的潜在影响。
我们收集了1996年1月1日至2004年11月30日布里斯班每日的死亡人数(非意外、心血管疾病和呼吸系统疾病)、天气和空气污染数据。我们估计了与高温相关的死亡人数,确定了潜在的短期死亡替代情况,并使用泊松时间序列回归结合分布滞后非线性模型(DLNM)评估了前一个冬季的死亡率如何以及在多大程度上改变了夏季温度对死亡率的影响。
夏季温度与各死亡率结局之间存在显著关联。我们发现了呼吸系统死亡率存在短期死亡替代的证据,以及在前一个冬季死亡率较低时非意外和心血管疾病死亡率存在长期死亡替代的证据。当前一个冬季死亡率水平较低时,估计的高温对死亡率的影响通常更强。例如,在死亡率较低的冬季之后的夏季,当平均温度高于28°C阈值每升高1°C时,我们估计非意外死亡率会增加22%(95%置信区间:14, 30),而在死亡率较高的冬季之后则为12%(95%置信区间:7, 17)。短期和长期死亡替代似乎共同影响了对与高温相关死亡的评估。
我们发现了澳大利亚布里斯班短期和长期收割效应均对与高温相关死亡率产生影响的证据。我们的发现可能会阐明与温度相关的健康风险,并为管理气候变化对健康影响的有效公共卫生干预措施提供信息。