Suppr超能文献

通过广义相加模型分析随机对照试验中的事件发生时间结局

Analysis of time to event outcomes in randomized controlled trials by generalized additive models.

作者信息

Argyropoulos Christos, Unruh Mark L

机构信息

Department of Internal Medicine, Division of Nephrology, University of New Mexico, Albuquerque, New Mexico, United States of America.

出版信息

PLoS One. 2015 Apr 23;10(4):e0123784. doi: 10.1371/journal.pone.0123784. eCollection 2015.

Abstract

BACKGROUND

Randomized Controlled Trials almost invariably utilize the hazard ratio calculated with a Cox proportional hazard model as a treatment efficacy measure. Despite the widespread adoption of HRs, these provide a limited understanding of the treatment effect and may even provide a biased estimate when the assumption of proportional hazards in the Cox model is not verified by the trial data. Additional treatment effect measures on the survival probability or the time scale may be used to supplement HRs but a framework for the simultaneous generation of these measures is lacking.

METHODS

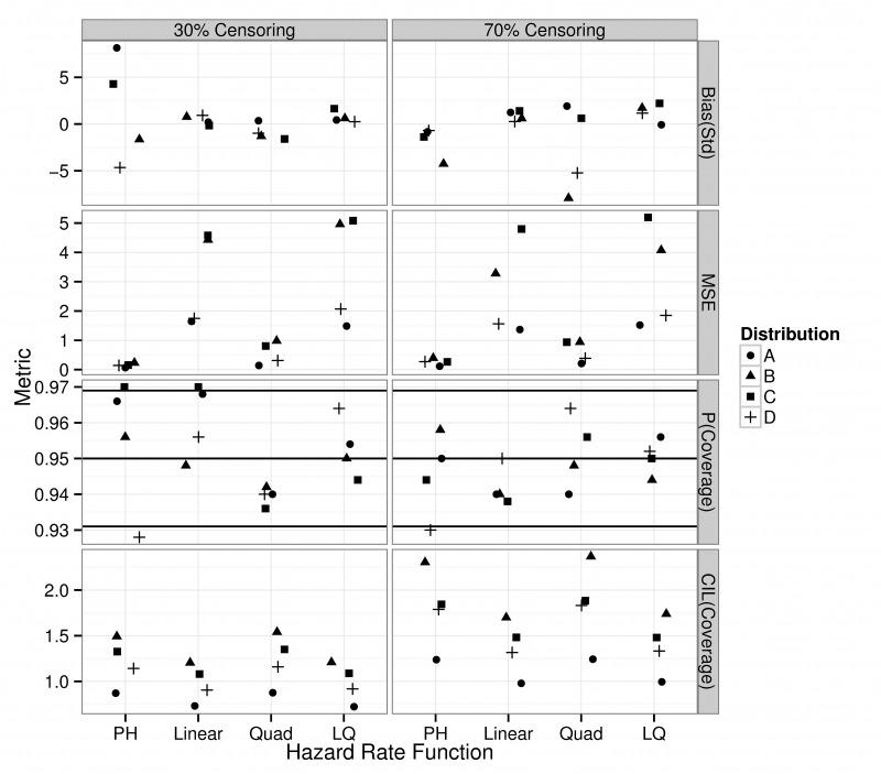
By splitting follow-up time at the nodes of a Gauss Lobatto numerical quadrature rule, techniques for Poisson Generalized Additive Models (PGAM) can be adopted for flexible hazard modeling. Straightforward simulation post-estimation transforms PGAM estimates for the log hazard into estimates of the survival function. These in turn were used to calculate relative and absolute risks or even differences in restricted mean survival time between treatment arms. We illustrate our approach with extensive simulations and in two trials: IPASS (in which the proportionality of hazards was violated) and HEMO a long duration study conducted under evolving standards of care on a heterogeneous patient population.

FINDINGS

PGAM can generate estimates of the survival function and the hazard ratio that are essentially identical to those obtained by Kaplan Meier curve analysis and the Cox model. PGAMs can simultaneously provide multiple measures of treatment efficacy after a single data pass. Furthermore, supported unadjusted (overall treatment effect) but also subgroup and adjusted analyses, while incorporating multiple time scales and accounting for non-proportional hazards in survival data.

CONCLUSIONS

By augmenting the HR conventionally reported, PGAMs have the potential to support the inferential goals of multiple stakeholders involved in the evaluation and appraisal of clinical trial results under proportional and non-proportional hazards.

摘要

背景

随机对照试验几乎总是使用通过Cox比例风险模型计算的风险比作为治疗效果的衡量指标。尽管风险比被广泛采用,但这些指标对治疗效果的理解有限,并且当Cox模型中的比例风险假设未得到试验数据证实时,甚至可能提供有偏差的估计。可以使用关于生存概率或时间尺度的其他治疗效果指标来补充风险比,但缺乏同时生成这些指标的框架。

方法

通过在高斯-洛巴托数值求积规则的节点处分割随访时间,可以采用泊松广义相加模型(PGAM)技术进行灵活的风险建模。简单的估计后模拟将PGAM对对数风险的估计转换为生存函数的估计。这些估计进而用于计算相对风险和绝对风险,甚至治疗组之间受限平均生存时间的差异。我们通过广泛的模拟以及在两项试验中说明了我们的方法:IPASS(其中风险的比例性被违反)和HEMO(一项在不断演变的护理标准下对异质患者群体进行的长期研究)。

结果

PGAM可以生成与通过Kaplan-Meier曲线分析和Cox模型获得的生存函数和风险比估计基本相同的估计。PGAM可以在单次数据处理后同时提供多种治疗效果指标。此外,它不仅支持未经调整的(总体治疗效果)分析,还支持亚组分析和调整分析,同时纳入多个时间尺度并考虑生存数据中的非比例风险。

结论

通过增加传统报告的风险比,PGAM有潜力支持参与评估和评价比例风险和非比例风险下临床试验结果的多个利益相关者的推断目标。

https://cdn.ncbi.nlm.nih.gov/pmc/blobs/9cb2/4408032/4310c3397987/pone.0123784.g001.jpg

文献AI研究员

20分钟写一篇综述,助力文献阅读效率提升50倍。

立即体验

用中文搜PubMed

大模型驱动的PubMed中文搜索引擎

马上搜索

文档翻译

学术文献翻译模型,支持多种主流文档格式。

立即体验