Suppr超能文献

同质网络中谣言传播的免疫

Immunization against the Spread of Rumors in Homogenous Networks.

作者信息

Zhao Laijun, Wang Jiajia, Huang Rongbing

机构信息

Sino-US Global Logistics Institute, Shanghai Jiao Tong University, Shanghai 200030, P.R. China; Antai College of Economics & Management, Shanghai Jiao Tong University, Shanghai 200052, P.R. China.

School of Administrative Studies, York University, Toronto ON M3J 1P3, Canada.

出版信息

PLoS One. 2015 May 1;10(5):e0124978. doi: 10.1371/journal.pone.0124978. eCollection 2015.

Abstract

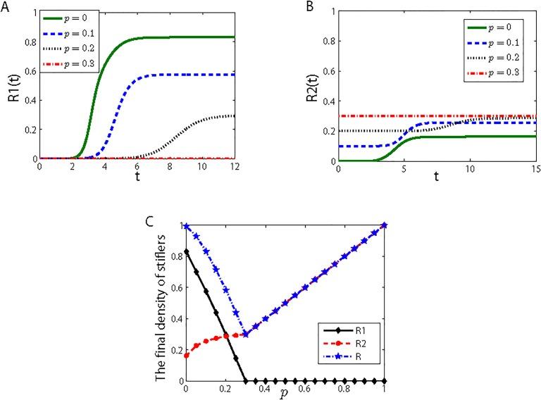
Since most rumors are harmful, how to control the spread of such rumors is important. In this paper, we studied the process of "immunization" against rumors by modeling the process of rumor spreading and changing the termination mechanism for the spread of rumors to make the model more realistic. We derived mean-field equations to describe the dynamics of the rumor spread. By carrying out steady-state analysis, we derived the spreading threshold value that must be exceeded for the rumor to spread. We further discuss a possible strategy for immunization against rumors and obtain an immunization threshold value that represents the minimum level required to stop the rumor from spreading. Numerical simulations revealed that the average degree of the network and parameters of transformation probability significantly influence the spread of rumors. More importantly, the simulations revealed that immunizing a higher proportion of individuals is not necessarily better because of the waste of resources and the generation of unnecessary information. So the optimal immunization rate should be the immunization threshold.

摘要

由于大多数谣言是有害的,如何控制此类谣言的传播至关重要。在本文中,我们通过对谣言传播过程进行建模,并改变谣言传播的终止机制以使模型更符合实际,研究了针对谣言的“免疫”过程。我们推导了平均场方程来描述谣言传播的动态过程。通过进行稳态分析,我们得出了谣言传播必须超过的传播阈值。我们进一步讨论了一种可能的谣言免疫策略,并获得了一个免疫阈值,该阈值代表阻止谣言传播所需的最低水平。数值模拟表明,网络的平均度和转变概率参数对谣言传播有显著影响。更重要的是,模拟表明,由于资源浪费和不必要信息的产生,对更高比例的个体进行免疫不一定更好。因此,最优免疫率应该是免疫阈值。

https://cdn.ncbi.nlm.nih.gov/pmc/blobs/ce6e/4416730/8294a96ae4c6/pone.0124978.g001.jpg

文献AI研究员

20分钟写一篇综述,助力文献阅读效率提升50倍。

立即体验

用中文搜PubMed

大模型驱动的PubMed中文搜索引擎

马上搜索

文档翻译

学术文献翻译模型,支持多种主流文档格式。

立即体验