Suppr超能文献

高尿酸血症与舌象 Haar 样特征之间的关系

Relationship between Hyperuricemia and Haar-Like Features on Tongue Images.

作者信息

Cui Yan, Liao Shizhong, Wang Hongwu, Liu Hongyu, Wang Wenhua, Yin Liqun

机构信息

School of Computer Science and Technology, Tianjin University, 92 Weijin Road, Nankai District, Tianjin 300072, China ; Department of Common Required Courses, Tianjin University of Traditional Chinese Medicine, 312 Anshanxi Road, Nankai District, Tianjin 300193, China.

School of Computer Science and Technology, Tianjin University, 92 Weijin Road, Nankai District, Tianjin 300072, China.

出版信息

Biomed Res Int. 2015;2015:363216. doi: 10.1155/2015/363216. Epub 2015 Apr 15.

Abstract

OBJECTIVE

To investigate differences in tongue images of subjects with and without hyperuricemia.

MATERIALS AND METHODS

This population-based case-control study was performed in 2012-2013. We collected data from 46 case subjects with hyperuricemia and 46 control subjects, including results of biochemical examinations and tongue images. Symmetrical Haar-like features based on integral images were extracted from tongue images. T-tests were performed to determine the ability of extracted features to distinguish between the case and control groups. We first selected features using the common criterion P < 0.05, then conducted further examination of feature characteristics and feature selection using means and standard deviations of distributions in the case and control groups.

RESULTS

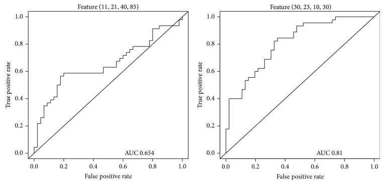
A total of 115,683 features were selected using the criterion P < 0.05. The maximum area under the receiver operating characteristic curve (AUC) of these features was 0.877. The sensitivity of the feature with the maximum AUC value was 0.800 and specificity was 0.826 when the Youden index was maximized. Features that performed well were concentrated in the tongue root region.

CONCLUSIONS

Symmetrical Haar-like features enabled discrimination of subjects with and without hyperuricemia in our sample. The locations of these discriminative features were in agreement with the interpretation of tongue appearance in traditional Chinese and Western medicine.

摘要

目的

研究高尿酸血症患者与非高尿酸血症患者舌象的差异。

材料与方法

本基于人群的病例对照研究于2012 - 2013年进行。我们收集了46例高尿酸血症病例受试者和46例对照受试者的数据,包括生化检查结果和舌象。从舌象中提取基于积分图像的对称类 Haar 特征。进行 t 检验以确定提取特征区分病例组和对照组的能力。我们首先使用常见标准 P < 0.05 选择特征,然后使用病例组和对照组分布的均值和标准差对特征特性和特征选择进行进一步检查。

结果

使用 P < 0.05 的标准共选择了115,683个特征。这些特征的受试者工作特征曲线(AUC)下的最大面积为0.877。当约登指数最大化时,AUC 值最大的特征的灵敏度为0.800,特异性为0.826。表现良好的特征集中在舌根区域。

结论

对称类 Haar 特征能够在我们的样本中区分高尿酸血症患者与非高尿酸血症患者。这些判别特征的位置与中西医对舌象的解读一致。

https://cdn.ncbi.nlm.nih.gov/pmc/blobs/eca7/4414229/289ca0bbad0d/BMRI2015-363216.001.jpg

文献AI研究员

20分钟写一篇综述,助力文献阅读效率提升50倍。

立即体验

用中文搜PubMed

大模型驱动的PubMed中文搜索引擎

马上搜索

文档翻译

学术文献翻译模型,支持多种主流文档格式。

立即体验