Suppr超能文献

噻唑烷二酮类药物与晚期慢性肾病糖尿病患者的长期透析风险:一项全国性队列研究。

Thiazolidinediones and Risk of Long-Term Dialysis in Diabetic Patients with Advanced Chronic Kidney Disease: A Nationwide Cohort Study.

作者信息

Chen Yu-Hsin, Chiang Ming-Han, Liu Jia-Sin, Chang Yu-Kang, Kuo Ko-Lin, Hung Szu-Chun, Tai Hsin-Ling, Hsu Chih-Cheng, Tarng Der-Cherng

机构信息

Division of Nephrology, Department of Internal Medicine, Taipei City Hospital Yang-Ming Branch, Taipei, Taiwan; Faculty of Medicine, National Yang-Ming University, Taipei, Taiwan.

Institute of Population Health Sciences, National Health Research Institutes, Zhunan, Taiwan.

出版信息

PLoS One. 2015 Jun 17;10(6):e0129922. doi: 10.1371/journal.pone.0129922. eCollection 2015.

Abstract

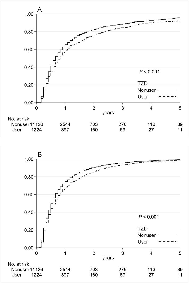
Thiazolidinediones (TZDs) reduce urinary albumin excretion and proteinuria in diabetic nephropathy. The effect of TZDs on hard renal outcome in diabetic patients with chronic kidney disease (CKD) is unknown. We investigate the association of TZDs and risk of long-term dialysis or death in diabetic patients with advanced CKD. The nationwide population-based cohort study was conducted using Taiwan's National Health Insurance Research Database. From January 2000 to June 2009, 12350 diabetic patients with advanced CKD (serum creatinine levels greater than 6 mg/dL but not yet receiving renal replacement therapy) were selected for the study. We used multivariable Cox regression models and a propensity score-based matching technique to estimate hazard ratios (HRs) for development of long-term dialysis and the composite outcome of long-term dialysis or death for TZD users (n=1224) as compared to nonusers (n=11126). During a median follow-up of 6 months, 8270 (67.0%) patients required long-term dialysis and 2593 (21.0%) patients died before starting long-term dialysis. Using propensity score matched analysis, we found TZD users were associated with a lower risk for long-term dialysis (HR, 0.80; 95% confidence interval [CI], 0.74-0.86) and the composite outcome of long-term dialysis or death (HR, 0.85; 95% CI, 0.80-0.91). The results were consistent across most patient subgroups. Use of TZDs among diabetic patients with advanced CKD was associated with lower risk for progression to end-stage renal disease necessitating long-term dialysis or death. Further randomized controlled studies are required to validate this association.

摘要

噻唑烷二酮类药物(TZDs)可减少糖尿病肾病患者的尿白蛋白排泄及蛋白尿。TZDs对慢性肾脏病(CKD)糖尿病患者肾脏硬终点事件的影响尚不清楚。我们研究了TZDs与晚期CKD糖尿病患者长期透析或死亡风险之间的关联。本全国性基于人群的队列研究使用了台湾地区国民健康保险研究数据库。2000年1月至2009年6月,选取12350例晚期CKD糖尿病患者(血清肌酐水平大于6mg/dL但尚未接受肾脏替代治疗)纳入研究。我们使用多变量Cox回归模型和基于倾向评分的匹配技术,来估计TZDs使用者(n = 1224)与非使用者(n = 11126)相比,发生长期透析以及长期透析或死亡这一复合结局的风险比(HRs)。在中位随访6个月期间,8270例(67.0%)患者需要长期透析,2593例(21.0%)患者在开始长期透析前死亡。通过倾向评分匹配分析,我们发现TZDs使用者发生长期透析的风险较低(HR,0.80;95%置信区间[CI],0.74 - 0.86),发生长期透析或死亡这一复合结局的风险也较低(HR,0.85;95%CI,0.80 - 0.91)。在大多数患者亚组中结果均一致。晚期CKD糖尿病患者使用TZDs与进展至需要长期透析或死亡的终末期肾病的风险较低相关。需要进一步的随机对照研究来验证这种关联。

https://cdn.ncbi.nlm.nih.gov/pmc/blobs/da6c/4470911/45c6e0d9fbc6/pone.0129922.g001.jpg

文献AI研究员

20分钟写一篇综述,助力文献阅读效率提升50倍。

立即体验

用中文搜PubMed

大模型驱动的PubMed中文搜索引擎

马上搜索

文档翻译

学术文献翻译模型,支持多种主流文档格式。

立即体验