Department of Neurobiology, Care Sciences and Society, Center for Alzheimer Research, Division of Translational Alzheimer Neurobiology, Karolinska Institutet, Novum, 5th floor, Stockholm, S-14157, Sweden.
Preclinical PET Platform, Department of Medicinal Chemistry, Faculty of Pharmacy, Uppsala University, Uppsala, Sweden.
Acta Neuropathol Commun. 2015 Jul 2;3:40. doi: 10.1186/s40478-015-0220-4.
The accumulation of neurofibrillary tangles, composed of aggregated hyperphosphorylated tau protein, starts spreading early in specific regions in the course of Alzheimer's disease (AD), correlating with the progression of memory dysfunction. The non-invasive imaging of tau could therefore facilitate the early diagnosis of AD, differentiate it from other dementing disorders and allow evaluation of tau immunization therapy outcomes. In this study we characterized the in vitro binding properties of THK5117, a tentative radiotracer for positron emission tomography (PET) imaging of tau brain deposits.
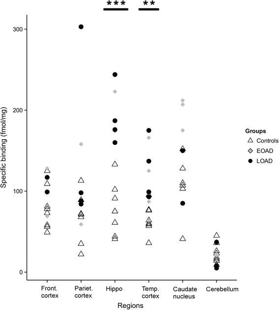
Saturation and competition binding studies of (3)H-THK5117 in post-mortem AD brain tissue showed the presence of multiple binding sites. THK5117 binding was significantly higher in hippocampal (p < 0.001) and temporal (p < 0.01) tissue homogenates in AD compared to controls. Autoradiography studies with (3)H-THK5117 was performed on large frozen brain sections from three AD cases who had been followed clinically and earlier undergone in vivo (18)F-FDG PET investigations. The three AD cases showed distinct differences in regional THK5117 binding that were also observed in tau immunohistopathology as well as in clinical presentation. A negative correlation between in vivo (18)F-FDG PET and in vitro (3)H-THK5117 autoradiography was observed in two of the three AD cases.
This study supports that new tau PET tracers will provide further understanding on the role of tau pathology in the diversity of the clinical presentation in AD.
阿尔茨海默病(AD)进程中,神经原纤维缠结的积累,由聚集的过度磷酸化 tau 蛋白组成,首先在特定区域开始扩散,这与记忆功能障碍的进展相关。tau 的非侵入性成像因此可以促进 AD 的早期诊断,将其与其他痴呆障碍区分开来,并允许评估 tau 免疫疗法的结果。在这项研究中,我们描述了 THK5117 的体外结合特性,THK5117 是一种用于 tau 脑沉积的正电子发射断层扫描(PET)成像的暂定示踪剂。
(3)H-THK5117 在死后 AD 脑组织中的饱和和竞争结合研究表明存在多种结合位点。与对照组相比,AD 患者的海马(p<0.001)和颞叶(p<0.01)组织匀浆中 THK5117 结合显著更高。对三个 AD 病例的大冷冻脑切片进行了(3)H-THK5117 的放射自显影研究,这些病例在临床上得到了随访,并较早地进行了体内(18)F-FDG PET 研究。这三个 AD 病例显示了区域 THK5117 结合的明显差异,这些差异也在 tau 免疫组织病理学以及临床表现中观察到。在这三个 AD 病例中的两个中观察到体内(18)F-FDG PET 和体外(3)H-THK5117 放射自显影之间的负相关。
这项研究支持新的 tau PET 示踪剂将进一步了解 tau 病理学在 AD 临床表现多样性中的作用。