Suppr超能文献

用于骨移植和引导骨再生程序的牛骨和心包的脱细胞和脱脂方案

Decellularization and Delipidation Protocols of Bovine Bone and Pericardium for Bone Grafting and Guided Bone Regeneration Procedures.

作者信息

Gardin Chiara, Ricci Sara, Ferroni Letizia, Guazzo Riccardo, Sbricoli Luca, De Benedictis Giulia, Finotti Luca, Isola Maurizio, Bressan Eriberto, Zavan Barbara

机构信息

Department of Biomedical Sciences, University of Padova, Padova, Italy.

Department of Neurosciences, University of Padova, Padova, Italy.

出版信息

PLoS One. 2015 Jul 20;10(7):e0132344. doi: 10.1371/journal.pone.0132344. eCollection 2015.

Abstract

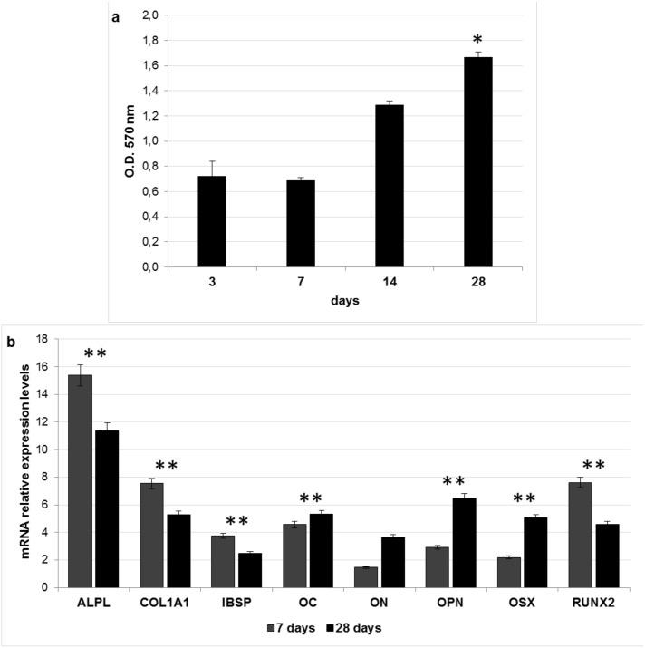
The combination of bone grafting materials with guided bone regeneration (GBR) membranes seems to provide promising results to restore bone defects in dental clinical practice. In the first part of this work, a novel protocol for decellularization and delipidation of bovine bone, based on multiple steps of thermal shock, washes with detergent and dehydration with alcohol, is described. This protocol is more effective in removal of cellular materials, and shows superior biocompatibility compared to other three methods tested in this study. Furthermore, histological and morphological analyses confirm the maintenance of an intact bone extracellular matrix (ECM). In vitro and in vivo experiments evidence osteoinductive and osteoconductive properties of the produced scaffold, respectively. In the second part of this study, two methods of bovine pericardium decellularization are compared. The osmotic shock-based protocol gives better results in terms of removal of cell components, biocompatibility, maintenance of native ECM structure, and host tissue reaction, in respect to the freeze/thaw method. Overall, the results of this study demonstrate the characterization of a novel protocol for the decellularization of bovine bone to be used as bone graft, and the acquisition of a method to produce a pericardium membrane suitable for GBR applications.

摘要

在牙科临床实践中,骨移植材料与引导骨再生(GBR)膜的组合似乎为修复骨缺损提供了有前景的结果。在这项工作的第一部分,描述了一种基于热休克、洗涤剂洗涤和酒精脱水多步骤的牛骨脱细胞和脱脂新方案。该方案在去除细胞材料方面更有效,并且与本研究中测试的其他三种方法相比,显示出更好的生物相容性。此外,组织学和形态学分析证实了完整骨细胞外基质(ECM)的维持。体外和体内实验分别证明了所制备支架的骨诱导和骨传导特性。在本研究的第二部分,比较了两种牛心包脱细胞方法。基于渗透休克的方案在去除细胞成分、生物相容性、维持天然ECM结构和宿主组织反应方面,相对于冻融法给出了更好的结果。总体而言,本研究结果证明了一种用作骨移植的牛骨脱细胞新方案的特性,以及获得一种生产适用于GBR应用的心包膜的方法。

https://cdn.ncbi.nlm.nih.gov/pmc/blobs/6a35/4507977/27b1758616a8/pone.0132344.g001.jpg

文献AI研究员

20分钟写一篇综述,助力文献阅读效率提升50倍。

立即体验

用中文搜PubMed

大模型驱动的PubMed中文搜索引擎

马上搜索

文档翻译

学术文献翻译模型,支持多种主流文档格式。

立即体验