Suppr超能文献

塑化剂事件后台湾一般人群中11种邻苯二甲酸酯代谢物尿液水平的年龄和性别差异

Age and Gender Differences in Urinary Levels of Eleven Phthalate Metabolites in General Taiwanese Population after a DEHP Episode.

作者信息

Huang Po-Chin, Tsai Chih-Hsin, Liang Wei-Yen, Li Sih-Syuan, Pan Wen-Harn, Chiang Hung-Che

机构信息

National Environmental Health Research Center, National Institute of Environmental Health Sciences, National Health Research Institutes, Miaoli, Taiwan.

Institute of Biomedical Sciences, Academia Sinica, Taipei, Taiwan; Division of Preventive Medicine and Health Service Research, Institute of Population Health Sciences, National Health Research Institutes, Miaoli, Taiwan.

出版信息

PLoS One. 2015 Jul 24;10(7):e0133782. doi: 10.1371/journal.pone.0133782. eCollection 2015.

Abstract

INTRODUCTION

In 2011, the Taiwan FDA disclosed illegal di(2-ethylhexyl phthalate) (DEHP) and dibutyl phthalate (DBP) use in beverage and nutrition supplements. We aim to determine phthalate exposure and other relevant factors in a sample of the general Taiwanese population in order to evaluate actual phthalate exposure levels after this disclosure of DEHP use.

METHOD

We selected subjects aged 7 years old and older in 2013 from the general Taiwanese population. First morning urine samples from each participant were collected to analyze 11 phthalate metabolites representing 7 parent phthalates using on-line liquid chromatography/ tandem mass spectrometry. An interview questionnaire was applied to obtain participant demographic characteristics, lifestyle, and other relevant factors.

RESULTS

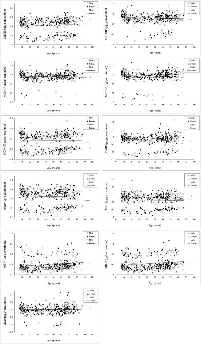
The median levels of metabolites of DEHP, including mono-ethylhexyl phthalate (MEHP), mono-(2-ethyl-5-oxohexyl) phthalate (MEOHP), mono-(2-ethyl-5-hydroxyhexyl) phthalate (MEHHP), mono-(2-ethyl-5-carboxypentyl) phthalate (MECPP), DBP (DnBP and DiBP), including mono-n-butyl phthalate (MnBP) and mono-iso-butyl phthalate (MiBP), and mono-ethyl phthalate (MEP) in urine samples of 290 adults/ 97 minors (<18 years) were 7.9/ 6.1, 12.6/ 17.8, 22.0/ 25.8, 25.4/ 30.8, 18.1/ 23.6, 9.4/ 13.6 and 14.5/ 12.4 μg/g creatinine, respectively. Women (≧18 years) were exposed to significantly higher levels of MEHHP (P=0.011), MECPP (P=0.01), MnBP (P=0.001) and MEP (P<0.001) than men (≧18 years), whereas no gender difference was observed in minors. We found significant higher level of MEP (creatinine-unadjusted) in subject aged between 18 to 40 years old (P<0.001), especially for women. Exposure levels of MEOHP (P<0.001), MECPP (P=0.002) and MnBP (P=0.044) in minors were significantly higher than those of adults. High frequency usage of food preservation film and bags, and personal care products are potential sources of phthalates exposure in general Taiwanese.

CONCLUSION

Our findings indicated that DEHP and DBP exposure in a sample of the general Taiwanese population varied by age and gender, possibly affected by different lifestyles, and continuing bio-monitoring surveillance is warranted.

摘要

引言

2011年,台湾食品药品管理局披露了饮料和营养补充剂中非法使用邻苯二甲酸二(2-乙基己基)酯(DEHP)和邻苯二甲酸二丁酯(DBP)的情况。我们旨在确定台湾一般人群样本中的邻苯二甲酸酯暴露情况及其他相关因素,以便在DEHP使用情况披露后评估实际的邻苯二甲酸酯暴露水平。

方法

我们于2013年从台湾一般人群中选取7岁及以上的受试者。收集每位参与者的首次晨尿样本,使用在线液相色谱/串联质谱法分析代表7种母体邻苯二甲酸酯的11种邻苯二甲酸酯代谢物。应用访谈问卷获取参与者的人口统计学特征、生活方式及其他相关因素。

结果

290名成年人/97名未成年人(<18岁)尿液样本中,DEHP的代谢物水平,包括邻苯二甲酸单乙基己酯(MEHP)、邻苯二甲酸单(2-乙基-5-氧代己基)酯(MEOHP)、邻苯二甲酸单(2-乙基-5-羟己基)酯(MEHHP)、邻苯二甲酸单(2-乙基-5-羧基戊基)酯(MECPP),DBP(DnBP和DiBP),包括邻苯二甲酸单正丁酯(MnBP)和邻苯二甲酸单异丁酯(MiBP),以及邻苯二甲酸单乙酯(MEP)的中位数水平分别为7.9/6.1、12.6/17.8、22.0/25.8、25.4/30.8、18.1/23.6、9.4/13.6和14.5/12.4μg/g肌酐。18岁及以上女性接触MEHHP(P = 0.011)、MECPP(P = 0.01)、MnBP(P = 0.001)和MEP(P < 0.001)的水平显著高于18岁及以上男性,而在未成年人中未观察到性别差异。我们发现18至40岁受试者中MEP(未校正肌酐)水平显著更高(P < 0.001),尤其是女性。未成年人中MEOHP(P < 0.001)、MECPP(P = 0.002)和MnBP(P = 0.044)的暴露水平显著高于成年人。食品保鲜膜和保鲜袋以及个人护理产品的高频率使用是台湾一般人群邻苯二甲酸酯暴露的潜在来源。

结论

我们的研究结果表明,台湾一般人群样本中DEHP和DBP的暴露因年龄和性别而异,可能受不同生活方式的影响,因此有必要持续进行生物监测。

https://cdn.ncbi.nlm.nih.gov/pmc/blobs/448a/4514596/364291f8fc08/pone.0133782.g001.jpg

文献AI研究员

20分钟写一篇综述,助力文献阅读效率提升50倍。

立即体验

用中文搜PubMed

大模型驱动的PubMed中文搜索引擎

马上搜索

文档翻译

学术文献翻译模型,支持多种主流文档格式。

立即体验