Kuroda Satoshi, Kashiwazaki Daina, Akioka Naoki, Koh Masaki, Hori Emiko, Nishikata Manabu, Umemura Kimiko, Horie Yukio, Noguchi Kyo, Kuwayama Naoya
Department of Neurosurgery, Graduate School of Medicine and Pharmacological Sciences, University of Toyama.
Neurol Med Chir (Tokyo). 2015;55(10):796-804. doi: 10.2176/nmc.oa.2015-0044. Epub 2015 Sep 15.
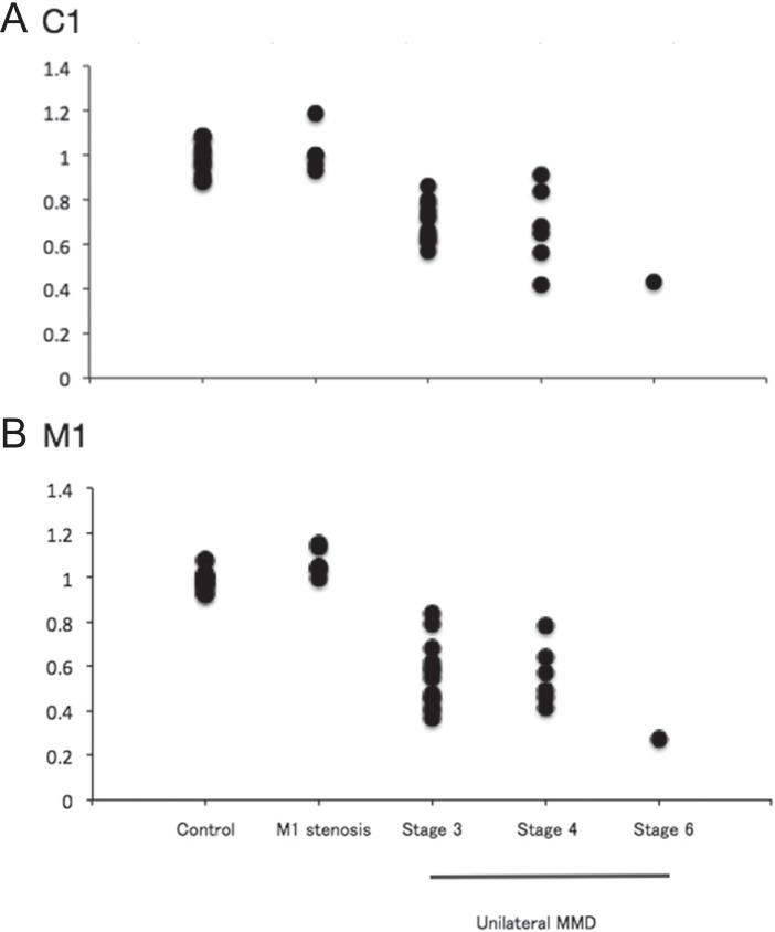
This study was aimed to analyze the outer diameter of the involved arteries in moyamoya disease, using three-dimensional (3D) constructive interference in steady state (CISS) and direct surgical inspection. Radiological evaluation was performed in 64 patients with moyamoya disease. As the controls, six patients with severe middle cerebral artery (MCA) stenosis and 17 healthy subjects were also recruited. On 3D-CISS, the outer diameter was quantified in the supraclinoid portion of internal carotid artery (C1), the horizontal portions of MCA (M1) and anterior cerebral artery (A1), and basilar artery. The involved carotid fork was directly observed during surgery in another series of three adult patients with moyamoya disease. In 53 adult patients with moyamoya disease, the outer diameters of C1, M1, and A1 segments were 2.3 ± 0.7 mm, 1.3 ± 0.5 mm, and 1.0 ± 0.4 mm in the involved side (n = 91), being significantly smaller than the control (n = 17), severe M1 stenosis (n = 6), and non-involved side in moyamoya disease (n = 15, P < 0.01). There were significant correlations between Suzuki's angiographical stage and the outer diameters of C1, M1, and A1 (P < 0.001). The laterality ratio of C1 and M1 was significantly smaller in unilateral moyamoya disease (n = 20) than the controls and severe MCA stenosis (P < 0.01). Direct observations revealed a marked decrease in the outer diameter of the carotid fork (n = 3). These findings strongly suggest specific shrinkage of the involved arteries in moyamoya disease, which may provide essential information to distinguish moyamoya disease from other intracranial arterial stenosis and shed light on the etiology and novel diagnosis cue of moyamoya disease.
本研究旨在利用三维(3D)稳态构成性干扰序列(CISS)和直接手术检查分析烟雾病中受累动脉的外径。对64例烟雾病患者进行了影像学评估。作为对照,还招募了6例大脑中动脉(MCA)严重狭窄患者和17名健康受试者。在3D-CISS上,对内颈动脉床突上段(C1)、MCA水平段(M1)和大脑前动脉水平段(A1)以及基底动脉的外径进行了量化。在另外3例成年烟雾病患者的手术过程中直接观察了受累的颈动脉分叉。在53例成年烟雾病患者中,受累侧C1、M1和A1段的外径分别为2.3±0.7mm、1.3±0.5mm和1.0±0.4mm(n=91),显著小于对照组(n=17)、严重M1狭窄组(n=6)和烟雾病未受累侧(n=15,P<0.01)。铃木血管造影分期与C1、M1和A1的外径之间存在显著相关性(P<0.001)。单侧烟雾病(n=20)中C1和M1的左右径比显著小于对照组和严重MCA狭窄组(P<0.01)。直接观察显示颈动脉分叉外径明显减小(n=3)。这些发现强烈提示烟雾病中受累动脉存在特异性收缩,这可能为区分烟雾病与其他颅内动脉狭窄提供重要信息,并为烟雾病的病因和新的诊断线索提供启示。