Suppr超能文献

复杂网络上自然数的可除性模式。

Divisibility patterns of natural numbers on a complex network.

作者信息

Shekatkar Snehal M, Bhagwat Chandrasheel, Ambika G

机构信息

Indian Institute of Science Education and Research, Pune, 411008, India.

出版信息

Sci Rep. 2015 Sep 16;5:14280. doi: 10.1038/srep14280.

Abstract

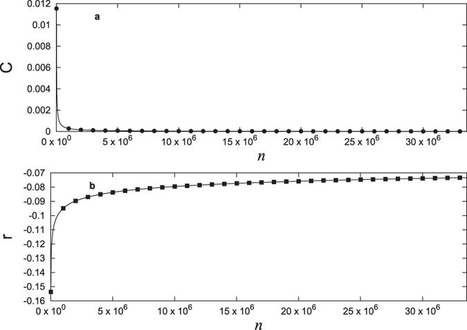
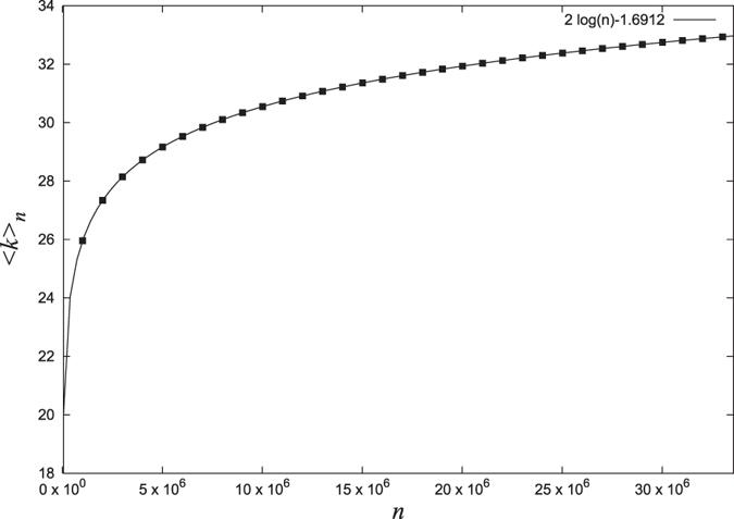
Investigation of divisibility properties of natural numbers is one of the most important themes in the theory of numbers. Various tools have been developed over the centuries to discover and study the various patterns in the sequence of natural numbers in the context of divisibility. In the present paper, we study the divisibility of natural numbers using the framework of a growing complex network. In particular, using tools from the field of statistical inference, we show that the network is scale-free but has a non-stationary degree distribution. Along with this, we report a new kind of similarity pattern for the local clustering, which we call "stretching similarity", in this network. We also show that the various characteristics like average degree, global clustering coefficient and assortativity coefficient of the network vary smoothly with the size of the network. Using analytical arguments we estimate the asymptotic behavior of global clustering and average degree which is validated using numerical analysis.

摘要

对自然数可除性性质的研究是数论中最重要的主题之一。几个世纪以来,人们开发了各种工具,以便在可除性的背景下发现和研究自然数序列中的各种模式。在本文中,我们使用不断增长的复杂网络框架来研究自然数的可除性。特别是,我们使用统计推断领域的工具表明,该网络是无标度的,但具有非平稳的度分布。与此同时,我们报告了该网络中一种新的局部聚类相似性模式,我们称之为“拉伸相似性”。我们还表明,网络的各种特征,如平均度、全局聚类系数和 assortativity 系数,会随着网络规模的变化而平滑变化。我们使用解析论证估计了全局聚类和平均度的渐近行为,并通过数值分析进行了验证。

https://cdn.ncbi.nlm.nih.gov/pmc/blobs/d928/4571582/1d0d22a4d3b3/srep14280-f1.jpg

文献AI研究员

20分钟写一篇综述,助力文献阅读效率提升50倍。

立即体验

用中文搜PubMed

大模型驱动的PubMed中文搜索引擎

马上搜索

文档翻译

学术文献翻译模型,支持多种主流文档格式。

立即体验