Suppr超能文献

人工社会中的大规模机器学习:对北京埃博拉疫情的预测。 (需注意,埃博拉病毒主要在非洲等地区流行,北京在正常情况下不存在埃博拉疫情,此标题内容可能存在假设或虚构情景等情况 )

The Large Scale Machine Learning in an Artificial Society: Prediction of the Ebola Outbreak in Beijing.

作者信息

Zhang Peng, Chen Bin, Ma Liang, Li Zhen, Song Zhichao, Duan Wei, Qiu Xiaogang

机构信息

College of Information and Management, National University of Defense Technology, Changsha 410073, China.

出版信息

Comput Intell Neurosci. 2015;2015:531650. doi: 10.1155/2015/531650. Epub 2015 Sep 20.

Abstract

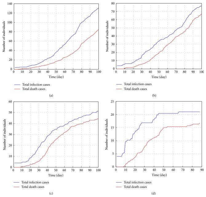
Ebola virus disease (EVD) distinguishes its feature as high infectivity and mortality. Thus, it is urgent for governments to draw up emergency plans against Ebola. However, it is hard to predict the possible epidemic situations in practice. Luckily, in recent years, computational experiments based on artificial society appeared, providing a new approach to study the propagation of EVD and analyze the corresponding interventions. Therefore, the rationality of artificial society is the key to the accuracy and reliability of experiment results. Individuals' behaviors along with travel mode directly affect the propagation among individuals. Firstly, artificial Beijing is reconstructed based on geodemographics and machine learning is involved to optimize individuals' behaviors. Meanwhile, Ebola course model and propagation model are built, according to the parameters in West Africa. Subsequently, propagation mechanism of EVD is analyzed, epidemic scenario is predicted, and corresponding interventions are presented. Finally, by simulating the emergency responses of Chinese government, the conclusion is finally drawn that Ebola is impossible to outbreak in large scale in the city of Beijing.

摘要

埃博拉病毒病(EVD)具有高传染性和高死亡率的特点。因此,各国政府迫切需要制定应对埃博拉的应急预案。然而,在实际情况中很难预测可能出现的疫情形势。幸运的是,近年来基于人工社会的计算实验出现了,为研究埃博拉病毒病的传播及分析相应干预措施提供了一种新方法。因此,人工社会的合理性是实验结果准确性和可靠性的关键。个体行为以及出行方式直接影响个体间的传播。首先,基于地理人口统计学重建人工北京市,并运用机器学习优化个体行为。同时,根据西非的参数构建埃博拉病程模型和传播模型。随后,分析埃博拉病毒病的传播机制,预测疫情形势,并提出相应干预措施。最后,通过模拟中国政府的应急响应,最终得出埃博拉在北京不可能大规模爆发的结论。

https://cdn.ncbi.nlm.nih.gov/pmc/blobs/df00/4592709/954c645c8a59/CIN2015-531650.001.jpg

文献AI研究员

20分钟写一篇综述,助力文献阅读效率提升50倍。

立即体验

用中文搜PubMed

大模型驱动的PubMed中文搜索引擎

马上搜索

文档翻译

学术文献翻译模型,支持多种主流文档格式。

立即体验