Suppr超能文献

肥厚型心肌病中左心室流出道梗阻对左心房力学的影响。

Effect of Left Ventricular Outflow Tract Obstruction on Left Atrial Mechanics in Hypertrophic Cardiomyopathy.

作者信息

Williams Lynne K, Chan Raymond H, Carasso Shemy, Durand Miranda, Misurka Jimmy, Crean Andrew M, Ralph-Edwards Anthony, Gruner Christiane, Woo Anna, Lesser John R, Maron Barry J, Maron Martin S, Rakowski Harry

机构信息

Division of Cardiology, Toronto General Hospital, Toronto, ON, Canada M5G 2C4; Department of Cardiology, Papworth Hospital NHS Foundation Trust, Papworth Everard, Cambridge CB23 3RE, UK.

Division of Cardiology, Toronto General Hospital, Toronto, ON, Canada M5G 2C4.

出版信息

Biomed Res Int. 2015;2015:481245. doi: 10.1155/2015/481245. Epub 2015 Dec 16.

Abstract

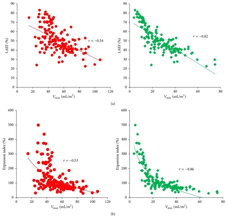
Left atrial (LA) volumes are known to be increased in hypertrophic cardiomyopathy (HCM) and are a predictor of adverse outcome. In addition, LA function is impaired and is presumed to be due to left ventricular (LV) diastolic dysfunction as a result of hypertrophy and myocardial fibrosis. In the current study, we assess the incremental effect of outflow tract obstruction (and concomitant mitral regurgitation) on LA function as assessed by LA strain. Patients with HCM (50 obstructive, 50 nonobstructive) were compared to 50 normal controls. A subset of obstructive patients who had undergone septal myectomy was also studied. Utilising feature-tracking software applied to cardiovascular magnetic resonance images, LA volumes and functional parameters were calculated. LA volumes were significantly elevated and LA ejection fraction and strain were significantly reduced in patients with HCM compared with controls and were significantly more affected in patients with obstruction. LA volumes and function were significantly improved after septal myectomy. LVOT obstruction and mitral regurgitation appear to further impair LA mechanics. Septal myectomy results in a significant reduction in LA volumes, paralleled by an improvement in function.

摘要

已知肥厚型心肌病(HCM)患者的左心房(LA)容积会增加,且是不良预后的预测指标。此外,左心房功能受损,推测是由于肥厚和心肌纤维化导致的左心室(LV)舒张功能障碍所致。在本研究中,我们评估流出道梗阻(及伴发的二尖瓣反流)对通过左心房应变评估的左心房功能的增量影响。将HCM患者(50例梗阻性,50例非梗阻性)与50例正常对照进行比较。还对一部分接受了室间隔心肌切除术的梗阻性患者进行了研究。利用应用于心血管磁共振图像的特征跟踪软件,计算左心房容积和功能参数。与对照组相比,HCM患者的左心房容积显著升高,左心房射血分数和应变显著降低,且梗阻性患者受影响更显著。室间隔心肌切除术后,左心房容积和功能显著改善。左心室流出道梗阻和二尖瓣反流似乎会进一步损害左心房力学。室间隔心肌切除术可显著减少左心房容积,同时功能得到改善。

https://cdn.ncbi.nlm.nih.gov/pmc/blobs/d668/4695661/78106b460da9/BMRI2015-481245.001.jpg

文献AI研究员

20分钟写一篇综述,助力文献阅读效率提升50倍。

立即体验

用中文搜PubMed

大模型驱动的PubMed中文搜索引擎

马上搜索

文档翻译

学术文献翻译模型,支持多种主流文档格式。

立即体验