Suppr超能文献

真菌生物农药在不同环境条件下减少疟疾传播的潜力。

The potential for fungal biopesticides to reduce malaria transmission under diverse environmental conditions.

作者信息

Heinig R L, Paaijmans Krijn P, Hancock Penelope A, Thomas Matthew B

机构信息

Center for Infectious Disease Dynamics and Department of Entomology, The Pennsylvania State University, University Park, PA, USA.

ISGlobal, Barcelona Centre for International Health Research (CRESIB), Hospital Clínic-Universitat de Barcelona, Barcelona, Spain.

出版信息

J Appl Ecol. 2015 Dec 1;52(6):1558-1566. doi: 10.1111/1365-2664.12522. Epub 2015 Sep 22.

Abstract

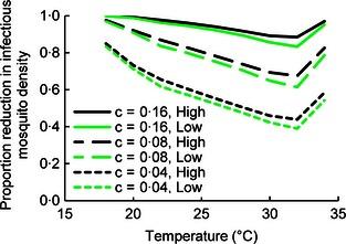
The effectiveness of conventional malaria vector control is being threatened by the spread of insecticide resistance. One promising alternative to chemicals is the use of naturally-occurring insect-killing fungi. Numerous laboratory studies have shown that isolates of fungal pathogens such as can infect and kill adult mosquitoes, including those resistant to chemical insecticides.Unlike chemical insecticides, fungi may take up to a week or more to kill mosquitoes following exposure. This slow kill speed can still reduce malaria transmission because the malaria parasite itself takes at least eight days to complete its development within the mosquito. However, both fungal virulence and parasite development rate are strongly temperature-dependent, so it is possible that biopesticide efficacy could vary across different transmission environments.We examined the virulence of a candidate fungal isolate against two key malaria vectors at temperatures from 10-34 °C. Regardless of temperature, the fungus killed more than 90% of exposed mosquitoes within the predicted duration of the malarial extrinsic incubation period, a result that was robust to realistic diurnal temperature variation.We then incorporated temperature sensitivities of a suite of mosquito, parasite and fungus life-history traits that are important determinants of malaria transmission into a stage-structured malaria transmission model. The model predicted that, at achievable daily fungal infection rates, fungal biopesticides have the potential to deliver substantial reductions in the density of malaria-infectious mosquitoes across all temperatures representative of malaria transmission environments.. Our study combines empirical data and theoretical modelling to prospectively evaluate the potential of fungal biopesticides to control adult malaria vectors. Our results suggest that could be a potent tool for malaria control and support further development of fungal biopesticides to manage infectious disease vectors.

摘要

传统疟疾媒介控制的有效性正受到杀虫剂抗性传播的威胁。一种有前景的化学替代品是使用天然存在的杀虫真菌。大量实验室研究表明,诸如[具体真菌名称未给出]等真菌病原体分离株能够感染并杀死成年蚊子,包括那些对化学杀虫剂具有抗性的蚊子。与化学杀虫剂不同,真菌在接触蚊子后可能需要长达一周或更长时间才能将其杀死。这种缓慢的致死速度仍然可以减少疟疾传播,因为疟原虫本身在蚊子体内完成发育至少需要八天。然而,真菌毒力和寄生虫发育速度都强烈依赖于温度,所以生物农药的功效在不同的传播环境中可能会有所不同。我们在10至34摄氏度的温度下,研究了一种候选真菌分离株对两种主要疟疾媒介的毒力。无论温度如何,该真菌在疟疾外在潜伏期的预测持续时间内杀死了超过90%的接触蚊子,这一结果对于实际的昼夜温度变化具有稳健性。然后,我们将一系列对疟疾传播至关重要的蚊子、寄生虫和真菌生活史特征的温度敏感性纳入一个阶段结构的疟疾传播模型。该模型预测,在可实现的每日真菌感染率下,真菌生物农药有潜力在代表疟疾传播环境的所有温度下大幅降低感染疟疾的蚊子密度。我们的研究结合了实证数据和理论建模,前瞻性地评估了真菌生物农药控制成年疟疾媒介的潜力。我们的结果表明,[具体真菌名称未给出]可能是一种有效的疟疾控制工具,并支持进一步开发真菌生物农药来管理传染病媒介。

https://cdn.ncbi.nlm.nih.gov/pmc/blobs/e24c/5014209/b3e19c4a3571/JPE-52-1558-g001.jpg

文献AI研究员

20分钟写一篇综述,助力文献阅读效率提升50倍。

立即体验

用中文搜PubMed

大模型驱动的PubMed中文搜索引擎

马上搜索

文档翻译

学术文献翻译模型,支持多种主流文档格式。

立即体验