Suppr超能文献

聚(L-丙交酯-ε-己内酯)和氢氧化镁添加剂对聚(L-乳酸)物理力学性能和降解的影响。

Effects of poly(L-lactide-ε-caprolactone) and magnesium hydroxide additives on physico-mechanical properties and degradation of poly(L-lactic acid).

机构信息

Center for Biomaterials, Korea Institute of Science and Technology, Hwarangno 14-gil 5, Seongbuk-gu, Seoul 02792 South Korea ; Department of Biological Science, Korea University, Anam-ro 145, Seongbuk-gu, Seoul 02841 South Korea.

Center for Biomaterials, Korea Institute of Science and Technology, Hwarangno 14-gil 5, Seongbuk-gu, Seoul 02792 South Korea.

出版信息

Biomater Res. 2016 Mar 15;20:7. doi: 10.1186/s40824-016-0054-6. eCollection 2016.

Abstract

BACKGROUND

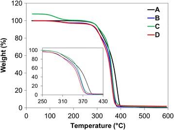
Biodegradable poly(L-lactic acid) (PLLA) is one of the most widely used polymer in biomedical devices, but it still has limitations such as inherent brittleness and acidic degradation products. In this work, PLLA blends with poly(L-lactide-ε-caprolactone) (PLCL) and Mg(OH)2 were prepared by the thermal processing to improve their physico-mechanical and thermal properties. In addition, the neutralizing effect of Mg(OH)2 was evaluated by degradation study.

RESULTS

The elongation of PLLA remarkably increased from 3 to 164.4 % and the glass transition temperature (Tg) of PLLA was slightly reduced from 61 to 52 °C by adding PLCL additive. Mg(OH)2 in polymeric matrix not only improved the molecular weight reduction and mechanical strength of PLLA, but also neutralized the acidic byproducts generated during polyester degradation.

CONCLUSIONS

Therefore, the results demonstrated that the presence of PLCL and Mg(OH)2 additives in PLLA matrix could prevent the thermal decomposition and control degradation behavior of polyester.

摘要

背景

可生物降解的聚(L-乳酸)(PLLA)是生物医学器械中应用最广泛的聚合物之一,但它仍然存在固有脆性和酸性降解产物等局限性。在这项工作中,通过热加工将 PLLA 与聚(L-丙交酯-ε-己内酯)(PLCL)和 Mg(OH)2 共混,以提高其物理力学和热性能。此外,通过降解研究评估了 Mg(OH)2 的中和作用。

结果

通过添加 PLCL 添加剂,PLLA 的伸长率从 3%显著增加到 164.4%,玻璃化转变温度(Tg)从 61°C 略微降低到 52°C。聚合物基体中的 Mg(OH)2 不仅提高了 PLLA 的分子量降低和机械强度,而且中和了聚酯降解过程中产生的酸性副产物。

结论

因此,结果表明 PLLA 基体中存在 PLCL 和 Mg(OH)2 添加剂可以防止聚酯的热分解并控制其降解行为。

https://cdn.ncbi.nlm.nih.gov/pmc/blobs/60b2/4791761/18802e43e4fa/40824_2016_54_Fig1_HTML.jpg

文献AI研究员

20分钟写一篇综述,助力文献阅读效率提升50倍。

立即体验

用中文搜PubMed

大模型驱动的PubMed中文搜索引擎

马上搜索

文档翻译

学术文献翻译模型,支持多种主流文档格式。

立即体验