Suppr超能文献

加勒比海珊瑚礁栖息的珊瑚寄生蟹(隐螯蟹科)在不同深度区间的出现模式。

Occurrence patterns of coral-dwelling gall crabs (Cryptochiridae) over depth intervals in the Caribbean.

作者信息

van Tienderen Kaj M, van der Meij Sancia E T

机构信息

Naturalis Biodiversity Center , Leiden , The Netherlands.

Naturalis Biodiversity Center, Leiden, The Netherlands; Oxford University Museum of Natural History, University of Oxford, Oxford, United Kingdom.

出版信息

PeerJ. 2016 Mar 10;4:e1794. doi: 10.7717/peerj.1794. eCollection 2016.

Abstract

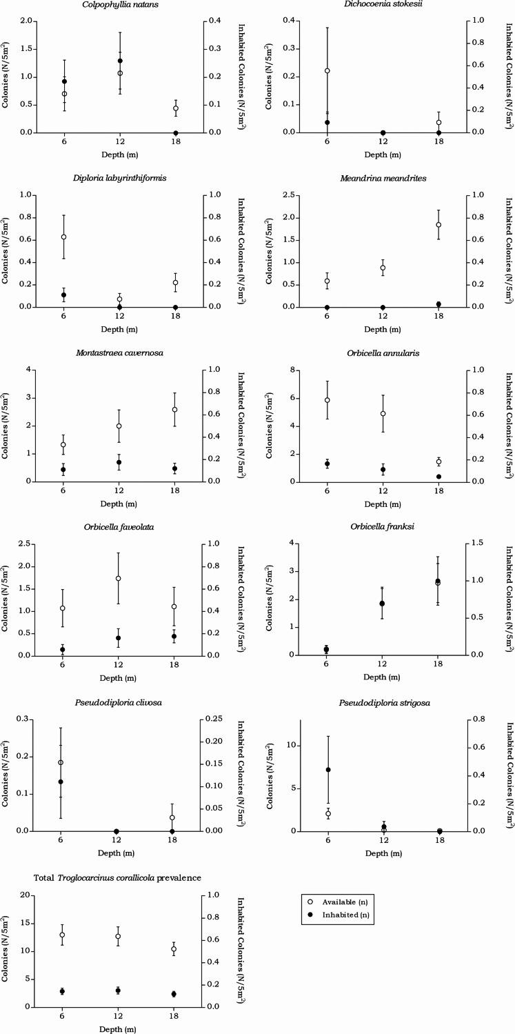
Coral-associated invertebrates form a major part of the diversity on reefs, but their distribution and occurrence patterns are virtually unstudied. For associated taxa data are lacking on their distribution across shelves and environmental gradients, but also over various depths. Off Curaçao we studied the prevalence and density of coral-dwelling gall crabs (Cryptochiridae), obligate symbionts of stony corals. Belt transects (10 × 0.5m(2)) were laid out at 6, 12 and 18 m depth intervals at 27 localities. Twenty-one known host coral species were surveyed, measured, and the number of crab dwellings was recorded to study the influence of host occurrence, depth distribution, and colony size on the occurrence rates of three Atlantic gall crab species: Opecarcinus hypostegus, Troglocarcinus corallicola and Kroppcarcinus siderastreicola. The overall gall crab prevalence rate was 20.3% across all available host corals at all depths. The agariciid-associated species O. hypostegus was found to mostly inhabit Agaricia lamarcki and its prevalence was highest at deeper depths, following the depth distribution of its host. Kroppcarcinus siderastreicola, associated with Siderastrea and Stephanocoenia, inhabited shallower depths despite higher host availability at deeper depths. The generalist species T. corallicola showed no clear host or depth specialisation. These results show that the primary factors affecting the distribution and occurrence rates over depth intervals differed between each of the three Atlantic cryptochirid species, which in turn influences their vulnerability to reef degradation.

摘要

与珊瑚相关的无脊椎动物构成了珊瑚礁生物多样性的主要部分,但它们的分布和出现模式实际上尚未得到研究。对于相关分类群,缺乏其在陆架和环境梯度上,以及不同深度的分布数据。在库拉索岛附近,我们研究了石珊瑚专性共生体——栖息在珊瑚中的珊瑚寄居蟹(隐螯蟹科)的流行率和密度。在27个地点,以6米、12米和18米的深度间隔设置了带状样带(10×0.5平方米)。对21种已知的宿主珊瑚物种进行了调查、测量,并记录了蟹穴的数量,以研究宿主的出现、深度分布和群体大小对三种大西洋珊瑚寄居蟹物种:低盖欧佩寄居蟹、珊瑚穴寄居蟹和西德拉星珊瑚寄居蟹出现率的影响。在所有深度的所有可用宿主珊瑚中,珊瑚寄居蟹的总体流行率为20.3%。发现与刺叶珊瑚相关的低盖欧佩寄居蟹主要栖息在拉氏刺叶珊瑚中,其流行率在较深的深度最高,与宿主的深度分布一致。与星孔珊瑚和扁脑珊瑚相关的西德拉星珊瑚寄居蟹,尽管在较深的深度有更高的宿主可利用性,但它们栖息在较浅的深度。广食性物种珊瑚穴寄居蟹没有表现出明显的宿主或深度特化。这些结果表明,影响这三种大西洋隐螯蟹物种在不同深度间隔分布和出现率的主要因素各不相同,这反过来又影响了它们对珊瑚礁退化的脆弱性。

https://cdn.ncbi.nlm.nih.gov/pmc/blobs/edcd/4793322/5f2381f8b69a/peerj-04-1794-g001.jpg

文献AI研究员

20分钟写一篇综述,助力文献阅读效率提升50倍。

立即体验

用中文搜PubMed

大模型驱动的PubMed中文搜索引擎

马上搜索

文档翻译

学术文献翻译模型,支持多种主流文档格式。

立即体验