Suppr超能文献

来自地耳草的两种新的生物活性α-吡喃酮。

Two New Bioactive α-Pyrones from Hypericum japonicum.

作者信息

Hu Linzhen, Wang Zhenzhen, Zhang Jinwen, Lu Yuanyuan, Wang Kaiping, Xue Yongbo, Zhang Yu, Zhang Yonghui

机构信息

Union Hospital Affiliated to Tongji Medical College, Huazhong University of Science and Technology, Wuhan 430022, China.

Hubei Key Laboratory of Natural Medicinal Chemistry and Resource Evaluation, School of Pharmacy, Tongji Medical College, Huazhong University of Science and Technology, Wuhan 430030, China.

出版信息

Molecules. 2016 Apr 19;21(4):515. doi: 10.3390/molecules21040515.

Abstract

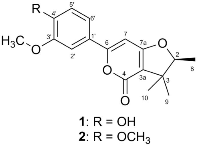
Hypericum japonicum (Guttiferae), a type of annual or perennial herb, has been historically applied to cure infectious hepatitis, acute and chronic hepatitis, gastrointestinal disorder, and internal hemorrhage. In our successive studies on the genus Hypericum, two new α-pyrones termed japopyrones A and B (1 and 2) were isolated from H. japonicum. Their structures and absolute configurations were established by the comprehensive analyses of spectroscopic data, the application of the Single-crystal X-ray diffraction structural analysis, and the experimental electronic circular dichroism (ECD) spectra. Bioactivity screenings suggested that compound 2 possessed the potential inhibition efficacy on lytic replication of Kaposi's sarcoma associated herpesvirus (KSHV) with an IC50 29.46 μM and a selective index of higher than 6.79, respectively.

摘要

地耳草(金丝桃科)是一种一年生或多年生草本植物,在历史上一直被用于治疗传染性肝炎、急慢性肝炎、胃肠道疾病和内出血。在我们对金丝桃属植物的系列研究中,从地耳草中分离出了两种新的α-吡喃酮,命名为地耳草吡喃酮A和B(1和2)。通过光谱数据的综合分析、单晶X射线衍射结构分析的应用以及实验性电子圆二色(ECD)光谱确定了它们的结构和绝对构型。生物活性筛选表明,化合物2对卡波西肉瘤相关疱疹病毒(KSHV)的裂解复制具有潜在抑制作用,其IC50分别为29.46 μM,选择性指数高于6.79。

https://cdn.ncbi.nlm.nih.gov/pmc/blobs/1164/6272854/ec026e43350f/molecules-21-00515-g001.jpg

文献AI研究员

20分钟写一篇综述,助力文献阅读效率提升50倍。

立即体验

用中文搜PubMed

大模型驱动的PubMed中文搜索引擎

马上搜索

文档翻译

学术文献翻译模型,支持多种主流文档格式。

立即体验