Suppr超能文献

一个用于发现新型大环内酯类抗生素的平台。

A platform for the discovery of new macrolide antibiotics.

作者信息

Seiple Ian B, Zhang Ziyang, Jakubec Pavol, Langlois-Mercier Audrey, Wright Peter M, Hog Daniel T, Yabu Kazuo, Allu Senkara Rao, Fukuzaki Takehiro, Carlsen Peter N, Kitamura Yoshiaki, Zhou Xiang, Condakes Matthew L, Szczypiński Filip T, Green William D, Myers Andrew G

机构信息

Department of Chemistry and Chemical Biology, Harvard University, Cambridge, Massachusetts 02138, USA.

出版信息

Nature. 2016 May 19;533(7603):338-45. doi: 10.1038/nature17967.

Abstract

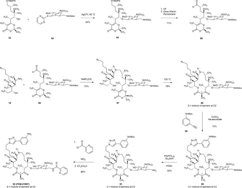
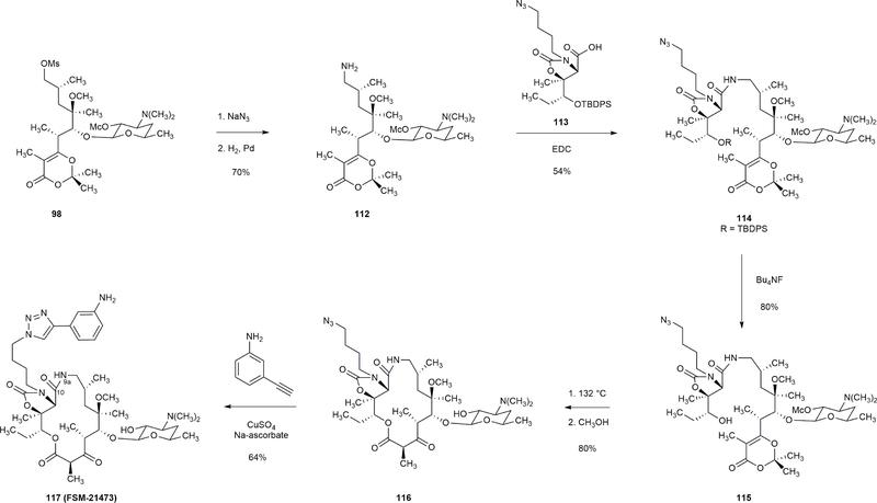
The chemical modification of structurally complex fermentation products, a process known as semisynthesis, has been an important tool in the discovery and manufacture of antibiotics for the treatment of various infectious diseases. However, many of the therapeutics obtained in this way are no longer effective, because bacterial resistance to these compounds has developed. Here we present a practical, fully synthetic route to macrolide antibiotics by the convergent assembly of simple chemical building blocks, enabling the synthesis of diverse structures not accessible by traditional semisynthetic approaches. More than 300 new macrolide antibiotic candidates, as well as the clinical candidate solithromycin, have been synthesized using our convergent approach. Evaluation of these compounds against a panel of pathogenic bacteria revealed that the majority of these structures had antibiotic activity, some efficacious against strains resistant to macrolides in current use. The chemistry we describe here provides a platform for the discovery of new macrolide antibiotics and may also serve as the basis for their manufacture.

摘要

对结构复杂的发酵产物进行化学修饰,即半合成过程,一直是发现和制造用于治疗各种传染病的抗生素的重要手段。然而,通过这种方式获得的许多治疗药物已不再有效,因为细菌已对这些化合物产生了抗性。在此,我们展示了一条实用的、通过简单化学构建块的汇聚组装来全合成大环内酯类抗生素的路线,能够合成传统半合成方法无法获得的多种结构。利用我们的汇聚方法已合成了300多种新的大环内酯类抗生素候选物以及临床候选药物索利霉素。对这些化合物针对一组病原菌的评估表明,这些结构中的大多数具有抗生素活性,有些对目前使用的大环内酯类耐药菌株有效。我们在此描述的化学方法为发现新的大环内酯类抗生素提供了一个平台,也可能作为其制造的基础。

https://cdn.ncbi.nlm.nih.gov/pmc/blobs/c9e6/6526944/622a966ed62f/nihms-774424-f0006.jpg

文献AI研究员

20分钟写一篇综述,助力文献阅读效率提升50倍。

立即体验

用中文搜PubMed

大模型驱动的PubMed中文搜索引擎

马上搜索

文档翻译

学术文献翻译模型,支持多种主流文档格式。

立即体验