Yang Bo, Yue Yang-Yang, Lu Rong-Er, Hong Xu-Hao, Zhang Chao, Qin Yi-Qiang, Zhu Yong-Yuan
National Laboratory of Solid State Microstructures and Collaborative Innovation Center of Advanced Microstructures and Key Laboratory of Modern Acoustics, Nanjing University, Nanjing 210093, China.
College of Engineering and Applied Sciences, Nanjing University, Nanjing 210093, China.
Sci Rep. 2016 Jun 7;6:27457. doi: 10.1038/srep27457.
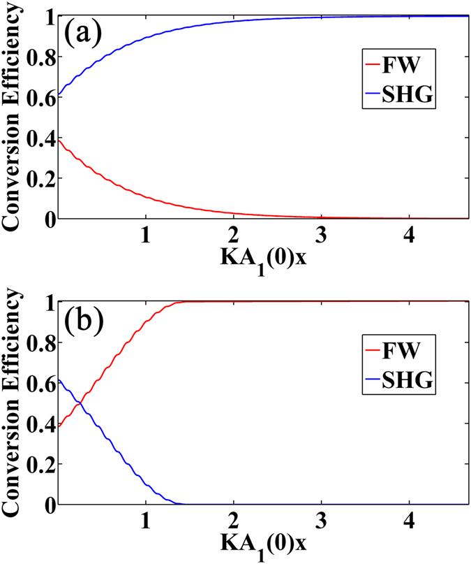
A simple method is employed to investigate the nonlinear frequency conversion in optical superlattices (OSL) with pump depletion. Four rigorous phase-matching conditions for different purposes are obtained directly from the nonlinear coupled equations, and the resulting OSL domain structures are generally aperiodic rather than periodic. With this method, not only the intensity but also the phase-shift of the harmonic waves can be manipulated at will. The second-harmonic generation of Gaussian beam is further investigated. This work may provide a guidance for the practical applications of designing nonlinear optical devices with high conversion efficiency.
采用一种简单方法研究了存在泵浦损耗时光学超晶格(OSL)中的非线性频率转换。直接从非线性耦合方程中得到了用于不同目的的四个严格相位匹配条件,所得的光学超晶格畴结构通常是非周期性的而非周期性的。利用该方法,不仅可以随意控制谐波的强度,还可以随意控制其相移。进一步研究了高斯光束的二次谐波产生。这项工作可为设计具有高转换效率的非线性光学器件的实际应用提供指导。