Forsyth Colin J, Hernandez Salvador, Olmedo Wilman, Abuhamidah Adieb, Traina Mahmoud I, Sanchez Daniel R, Soverow Jonathan, Meymandi Sheba K
Center of Excellence for Chagas Disease, Olive View-University of California, Los Angeles Medical Center, Sylmar.
Clin Infect Dis. 2016 Oct 15;63(8):1056-1062. doi: 10.1093/cid/ciw477. Epub 2016 Jul 17.
Nifurtimox is 1 of only 2 medications available for treating Chagas disease (CD) and currently the only drug available in the United States, but its safety and tolerance have not been extensively studied. This is the first study to evaluate tolerance of nifurtimox in US patients with CD.
This investigation assessed side effects in a sample of 53 patients with CD, all Latin American immigrants, who underwent treatment with nifurtimox (8-10 mg/kg in 3 daily doses for 12 weeks) from March 2008 to July 2012. The frequency and severity of adverse events (AEs) was recorded.
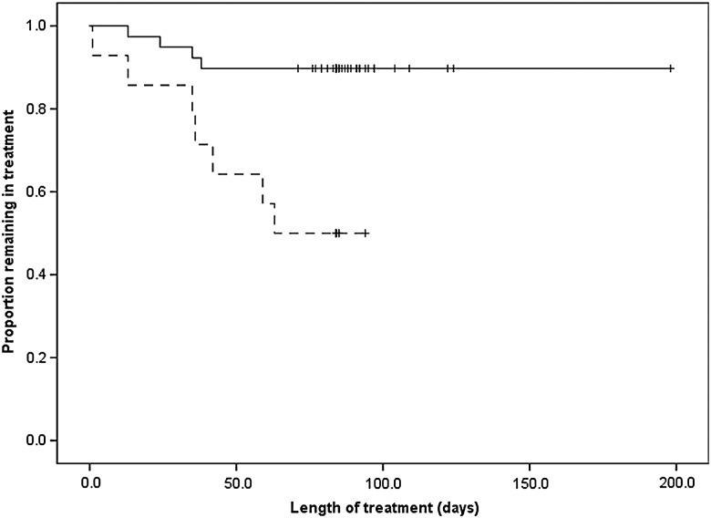
A total of 435 AEs were recorded; 93.8% were mild, 3.0% moderate, and 3.2% severe. Patients experienced a mean of 8.2 AEs; the most frequent were anorexia (79.2%), nausea (75.5%), headache (60.4%), amnesia (58.5%), and >5% weight loss (52.8%). Eleven patients (20.8%) were unable to complete treatment. Experiencing a moderate or severe AE (odds ratio [OR], 3.82; P < .05) and Mexican nationality (OR, 2.29; P < .05) were significant predictors of treatment discontinuation, but sex and cardiac progression at baseline were not. Patients who did not complete treatment experienced nearly 3 times more AEs per 30-day period (P = .05).
Nifurtimox produces frequent side effects, but the majority are mild and can be managed with dose reduction and/or temporary suspension of medication. The high frequency of gastrointestinal symptoms and weight loss mirrors results from prior investigations. Special attention should be paid during the early stages of treatment to potentially severe symptoms including depression, rash, and anxiety.
硝呋莫司是仅有的两种可用于治疗恰加斯病(CD)的药物之一,且是目前美国唯一可用的药物,但其安全性和耐受性尚未得到广泛研究。这是第一项评估美国CD患者对硝呋莫司耐受性的研究。
本调查评估了53例CD患者(均为拉丁美洲移民)的副作用,这些患者在2008年3月至2012年7月期间接受了硝呋莫司治疗(8 - 10mg/kg,每日3次,共12周)。记录不良事件(AE)的频率和严重程度。
共记录到435例AE;93.8%为轻度,3.0%为中度,3.2%为重度。患者平均经历8.2次AE;最常见的是厌食(79.2%)、恶心(75.5%)、头痛(60.4%)、失忆(58.5%)以及体重减轻超过5%(52.8%)。11例患者(20.8%)未能完成治疗。出现中度或重度AE(优势比[OR],3.82;P < .05)和墨西哥国籍(OR,2.29;P < .05)是治疗中断的显著预测因素,但性别和基线时的心脏病情进展不是。未完成治疗的患者每30天经历的AE几乎多3倍(P = .05)。
硝呋莫司会产生频繁的副作用,但大多数是轻度的,可通过减少剂量和/或暂时停药来处理。胃肠道症状和体重减轻的高发生率与先前的研究结果相符。在治疗早期应特别关注潜在的严重症状,包括抑郁、皮疹和焦虑。