Suppr超能文献

使用多孔硅膜在中红外波段进行全光调制。

All-optical modulation in Mid-Wavelength Infrared using porous Si membranes.

作者信息

Park Sung Jin, Zakar Ammar, Zerova Vera L, Chekulaev Dimitri, Canham Leigh T, Kaplan Andre

机构信息

Nanoscale Physics Research Laboratory, School of Physics and Astronomy, University of Birmingham, Edgbaston B15 2TT, United Kingdom.

pSiMedica Ltd. Malvern Hills Science Park, Geraldine Road, Malvern, WR14 3SZ, United Kingdom.

出版信息

Sci Rep. 2016 Jul 21;6:30211. doi: 10.1038/srep30211.

Abstract

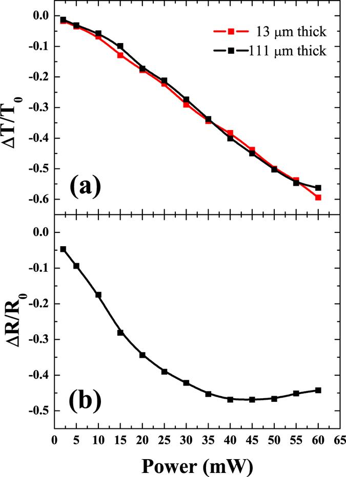
We demonstrate for the first time the possibility of all-optical modulation of self-standing porous Silicon (pSi) membrane in the Mid-Wavelength Infrared (MWIR) range using femtosecond pump-probe techniques. To study optical modulation, we used pulses of an 800 nm, 60 femtosecond for pump and a MWIR tunable probe in the spectral range between 3.5 and 4.4 μm. We show that pSi possesses a natural transparency window centred around 4 μm. Yet, about 55% of modulation contrast can be achieved by means of optical excitation at the pump power of 60 mW (4.8 mJ/cm(2)). Our analysis shows that the main mechanism of the modulation is interaction of the MWIR signal with the free charge carrier excited by the pump. The time-resolved measurements showed a sub-picosecond rise time and a recovery time of about 66 ps, which suggests a modulation speed performance of ~15 GHz. This optical modulation of pSi membrane in MWIR can be applied to a variety of applications such as thermal imaging and free space communications.

摘要

我们首次证明了使用飞秒泵浦 - 探测技术在中红外(MWIR)范围内对自支撑多孔硅(pSi)膜进行全光调制的可能性。为了研究光调制,我们使用了波长为800 nm、脉宽60飞秒的泵浦脉冲以及光谱范围在3.5至4.4μm之间的MWIR可调谐探测脉冲。我们表明,pSi具有一个以4μm为中心的自然透明窗口。然而,在泵浦功率为60 mW(4.8 mJ/cm²)时,通过光激发可实现约55%的调制对比度。我们的分析表明,调制的主要机制是MWIR信号与泵浦激发的自由电荷载流子之间的相互作用。时间分辨测量显示上升时间为亚皮秒级,恢复时间约为66 ps,这表明调制速度性能约为15 GHz。这种MWIR范围内pSi膜的光调制可应用于多种应用,如热成像和自由空间通信。

https://cdn.ncbi.nlm.nih.gov/pmc/blobs/d912/4954954/e7ce19554e21/srep30211-f1.jpg

文献AI研究员

20分钟写一篇综述,助力文献阅读效率提升50倍。

立即体验

用中文搜PubMed

大模型驱动的PubMed中文搜索引擎

马上搜索

文档翻译

学术文献翻译模型,支持多种主流文档格式。

立即体验