Suppr超能文献

高达1兆巴压力下MgCl₂的高压X射线衍射、拉曼光谱及计算研究:β-MgCl₂层状结构的广泛压力稳定性

High-pressure X-ray diffraction, Raman, and computational studies of MgCl2 up to 1 Mbar: Extensive pressure stability of the β-MgCl2 layered structure.

作者信息

Stavrou Elissaios, Yao Yansun, Zaug Joseph M, Bastea Sorin, Kalkan Bora, Konôpková Zuzana, Kunz Martin

机构信息

Lawrence Livermore National Laboratory, Physical and Life Sciences Directorate, P.O. Box 808 L-350, Livermore, California 94550, USA.

Department of Physics and Engineering Physics, University of Saskatchewan, Saskatoon Saskatchewan, S7N 5E2, Canada.

出版信息

Sci Rep. 2016 Aug 12;6:30631. doi: 10.1038/srep30631.

Abstract

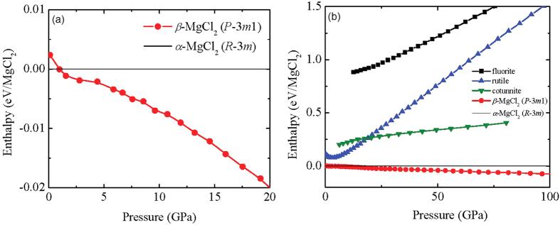
Magnesium chloride (MgCl2) with the rhombohedral layered CdCl2-type structure (α-MgCl2) has been studied experimentally using synchrotron angle-dispersive powder x-ray diffraction and Raman spectroscopy using a diamond-anvil cell up to 100 GPa at room temperature and theoretically using first-principles density functional calculations. The results reveal a pressure-induced second-order structural phase transition to a hexagonal layered CdI2-type structure (β-MgCl2) at 0.7 GPa: the stacking sequence of the Cl anions are altered resulting in a reduction of the c-axis length. Theoretical calculations confirm this phase transition sequence and the calculated transition pressure is in excellent agreement with the experiment. Lattice dynamics calculations also reproduce the experimental Raman spectra measured for the ambient and high-pressure phase. According to our experimental results MgCl2 remains in a 2D layered phase up to 100 GPa and further, the 6-fold coordination of Mg cations is retained. Theoretical calculations of relative enthalpy suggest that this extensive pressure stability is due to a low enthalpy of the layered structure ruling out kinetic barrier effects. This observation is unusual, as it contradicts with the general structural behavior of highly compressed AB2 compounds.

摘要

采用同步辐射角散射粉末X射线衍射和拉曼光谱,在室温下利用金刚石对顶砧池对具有菱面体层状CdCl₂型结构(α-MgCl₂)的氯化镁(MgCl₂)进行了高达100 GPa的实验研究,并采用第一性原理密度泛函计算进行了理论研究。结果表明,在0.7 GPa时发生压力诱导的二级结构相变,转变为六方层状CdI₂型结构(β-MgCl₂):Cl⁻阴离子的堆积顺序发生改变,导致c轴长度减小。理论计算证实了这一相变序列,计算得到的转变压力与实验结果高度吻合。晶格动力学计算也再现了在常压和高压相下测得的实验拉曼光谱。根据我们的实验结果,MgCl₂在高达100 GPa及更高压力下仍保持二维层状相,并且Mg²⁺阳离子的六重配位得以保留。相对焓的理论计算表明,这种广泛的压力稳定性是由于层状结构的低焓,排除了动力学势垒效应。这一观察结果不同寻常,因为它与高度压缩的AB₂化合物的一般结构行为相矛盾。

https://cdn.ncbi.nlm.nih.gov/pmc/blobs/98c7/4981878/8b22870b76e5/srep30631-f1.jpg

文献AI研究员

20分钟写一篇综述,助力文献阅读效率提升50倍。

立即体验

用中文搜PubMed

大模型驱动的PubMed中文搜索引擎

马上搜索

文档翻译

学术文献翻译模型,支持多种主流文档格式。

立即体验