Suppr超能文献

评估用于表面肌电测量的碳/盐/胶电极。

Assessment of Carbon/Salt/Adhesive Electrodes for Surface Electromyography Measurements.

机构信息

University of Connecticut Storrs CT 06269 USA.

FLEXcon Spencer MA 01562 USA.

出版信息

IEEE J Transl Eng Health Med. 2016 May 17;4:2100209. doi: 10.1109/JTEHM.2016.2567420. eCollection 2016.

Abstract

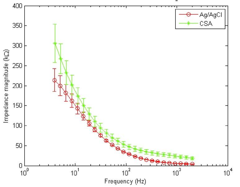
This paper presents the evaluation of novel electrodes for surface electromyography (sEMG) measurements. The electrodes are based on the mixture of carbon powder, quaternary salt, and viscoelastic polymeric adhesive (carbon/salt/adhesive or simply CSA), which when combined, provide the unique advantages of having longer (theoretically infinite) shelf life and potentially lower cost than Ag/AgCl hydrogel electrodes, consistent with FLEXcon's Patent #8 673 184. The 20 subjects were recruited to collect simultaneous recordings of sEMG signals using Ag/AgCl and CSA electrodes, side-by-side on triceps brachii, tibial anterior muscles, biceps brachii, and quadriceps femoris. Although CSA sEMG electrodes showed higher electrode-skin contact impedance for the frequency range of 4 Hz-2 kHz, no significant differences were found in the signals' amplitude between the two electrodes either during relaxation or contraction stages. Furthermore, correlations of the computed linear envelopes (>0.91), rms value envelopes (>0.91), and power spectral densities (>0.95) of the signals were found to be high between the two media. Detected ON- and OFF-times of contraction were also highly correlated (>0.9) and interchangeable (ON-time: bias = -0.02, variance = 0.11; OFF-time: bias = -0.04, variance = 0.23) between the two media. However, CSA sEMG electrodes exhibited a significantly better response to noise (38.3 ± 10.6 dB versus 32.7 ± 15.6 dB) and motion artifacts (24.1 ± 12.1 dB versus 16.6 ± 8.52 dB), and a significantly lower spectral deformation (1.32 ± 0.2 versus 1.46 ± 0.4). Ag/AgCl electrodes showed a significantly more peaked and sensitive response to EMG amplitude (67.9 ± 13.9 dB versus 65.4 ± 14.6 dB). Given no significant differences in many of the measures described earlier and the fact that CSA electrodes have an infinite shelf-life are potentially lower cost, and are more resistant to motion artifacts, the new electrodes provide an attractive alternative to Ag/AgCl electrodes for sEMG measurements.

摘要

本文介绍了一种新型表面肌电 (sEMG) 测量电极的评估。这些电极基于碳粉、季铵盐和粘弹性聚合物粘合剂的混合物(碳/盐/粘合剂或简称 CSA),当它们结合在一起时,具有比 Ag/AgCl 水凝胶电极更长的(理论上无限的)保质期和潜在更低的成本的独特优势,符合 FLEXcon 的专利#8673184。20 名受试者被招募来使用 Ag/AgCl 和 CSA 电极同时记录肱三头肌、胫骨前肌、肱二头肌和股四头肌的 sEMG 信号,两种电极并排放置。尽管 CSA sEMG 电极在 4 Hz-2 kHz 的频率范围内显示出更高的电极-皮肤接触阻抗,但在放松和收缩阶段,两种电极记录的信号幅度没有显著差异。此外,还发现两种介质之间的信号的计算线性包络(>0.91)、均方根值包络(>0.91)和功率谱密度(>0.95)的相关性很高。收缩的检测 ON-和 OFF-时间也高度相关(>0.9)且可互换(ON 时间:偏差 = -0.02,方差 = 0.11;OFF 时间:偏差 = -0.04,方差 = 0.23)。然而,CSA sEMG 电极对噪声(38.3 ± 10.6 dB 与 32.7 ± 15.6 dB)和运动伪影(24.1 ± 12.1 dB 与 16.6 ± 8.52 dB)具有更好的响应,且频谱变形更小(1.32 ± 0.2 与 1.46 ± 0.4)。Ag/AgCl 电极对 EMG 幅度的响应具有明显更高的峰值和灵敏度(67.9 ± 13.9 dB 与 65.4 ± 14.6 dB)。鉴于前文所述的许多措施没有显著差异,以及 CSA 电极具有无限保质期、潜在成本更低且对运动伪影更具抵抗力的事实,新型电极为 sEMG 测量提供了一种比 Ag/AgCl 电极更具吸引力的替代方案。

https://cdn.ncbi.nlm.nih.gov/pmc/blobs/c62b/4993130/a62c4fcf08df/chon1ab-2567420.jpg

文献AI研究员

20分钟写一篇综述,助力文献阅读效率提升50倍。

立即体验

用中文搜PubMed

大模型驱动的PubMed中文搜索引擎

马上搜索

文档翻译

学术文献翻译模型,支持多种主流文档格式。

立即体验