Suppr超能文献

高脂饮食并未改变大鼠对急性应激的代谢反应。

High-fat diet did not change metabolic response to acute stress in rats.

作者信息

Ghalami Jamileh, Zardooz Homeira, Rostamkhani Fatemeh, Farrokhi Babak, Hedayati Mehdi

机构信息

Neuroscience Research center and Department of Physiology, Faculty of Medicine, Shahid Beheshti University of Medical Sciences, Tehran, Iran.

Department of Biology, Faculty of Basic Sciences, Shahre Rey Branch, Islamic Azad University (IAU), Tehran, Iran.

出版信息

EXCLI J. 2011 Oct 20;10:205-217. eCollection 2011.

Abstract

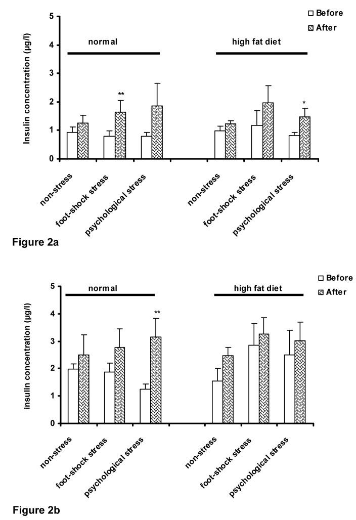
This study investigated the effects of high-fat diet on metabolic factors in the presence of acute foot-shock and psychological stresses in male Wistar rats. The animals were divided into high-fat (45 % cow intra-abdominal fat) and normal (standard pellets) diet groups; then, each group was allocated into stressed and control groups. Stress was induced by a communication box. Blood samples were collected by retro-orbital-puncture method under isoflurane anesthesia. Plasma levels of glucose, insulin, triglyceride, cholesterol, free fatty acid and corticosterone were measured. Water and food intake significantly decreased in high-fat diet group; however, their weight did not change compared with the normal diet group. The level of fasting plasma glucose in the high-fat diet group decreased whereas, the fasting plasma insulin level did not significantly change. Stress increased the plasma glucose level 15 minutes after oral glucose tolerance test (OGTT) in both diet subgroups. The concentration of plasma insulin increased after stress induction in fasting and 15 minutes after performing OGTT. The increase in the plasma level of corticosterone was significant in both diet subgroups of only the foot-shock stress group. Plasma level of cholesterol and triglyceride in the high-fat diet group significantly increased; however, foot-shock stress decreased only triglyceride concentration. Plasma level of the fatty acids did not change in any of the groups. Statistical analysis showed no significant interaction between high-fat diet and stress. As a whole, the results showed that the high-fat diet used in the present study did not noticeably affect metabolic parameters even in the presence of acute stress.

摘要

本研究调查了高脂饮食对雄性Wistar大鼠在急性足部电击和心理应激情况下代谢因子的影响。将动物分为高脂(45%牛腹腔脂肪)饮食组和正常(标准颗粒饲料)饮食组;然后,每组再分为应激组和对照组。通过交流箱诱导应激。在异氟烷麻醉下采用眶后穿刺法采集血样。检测血浆葡萄糖、胰岛素、甘油三酯、胆固醇、游离脂肪酸和皮质酮水平。高脂饮食组的水和食物摄入量显著减少;然而,与正常饮食组相比,它们的体重没有变化。高脂饮食组的空腹血浆葡萄糖水平降低,而空腹血浆胰岛素水平没有显著变化。在两个饮食亚组中,应激均使口服葡萄糖耐量试验(OGTT)后15分钟的血浆葡萄糖水平升高。应激诱导后,空腹时以及进行OGTT后15分钟,血浆胰岛素浓度升高。仅在足部电击应激组的两个饮食亚组中,皮质酮血浆水平的升高具有显著性。高脂饮食组的血浆胆固醇和甘油三酯水平显著升高;然而,足部电击应激仅降低了甘油三酯浓度。脂肪酸的血浆水平在任何组中均未改变。统计分析表明高脂饮食与应激之间无显著交互作用。总体而言,结果表明本研究中使用的高脂饮食即使在存在急性应激的情况下也未明显影响代谢参数。

https://cdn.ncbi.nlm.nih.gov/pmc/blobs/56da/5109016/eb22bceba91b/EXCLI-10-205-t-001.jpg

文献AI研究员

20分钟写一篇综述,助力文献阅读效率提升50倍。

立即体验

用中文搜PubMed

大模型驱动的PubMed中文搜索引擎

马上搜索

文档翻译

学术文献翻译模型,支持多种主流文档格式。

立即体验