Vílchez-López Silverio, Sáez-Castillo Antonio José, Olmo-Jiménez María José
IES Las Fuentezuelas, Jaén, Spain.
Department of Statistics and Operations Research, University of Jaén, Jaén, Spain.
PLoS One. 2016 Dec 9;11(12):e0167570. doi: 10.1371/journal.pone.0167570. eCollection 2016.
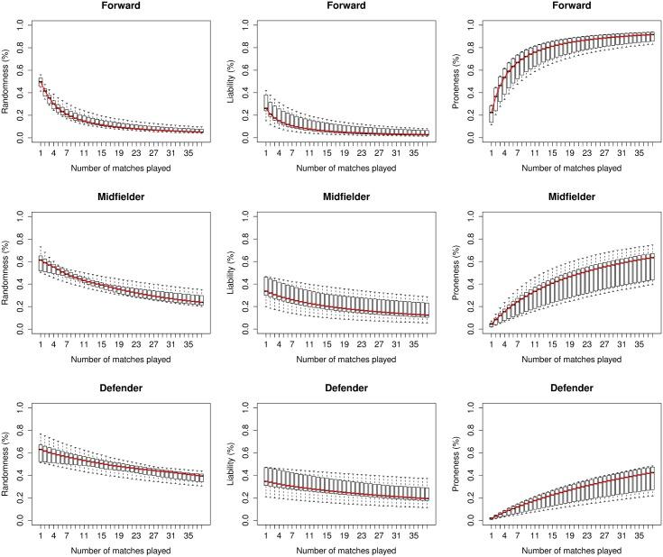
Understanding why a random variable is actually random has been in the core of Statistics from its beginnings. The generalized Waring regression model for count data explains that inherent variability is given by three possible sources: randomness, liability and proneness. The model extends the negative binomial regression model and it is not included in the family of generalized linear models. In order to avoid that shortcoming, we developed the GWRM R package for fitting, describing and validating the model. The version we introduce in this communication provides a new design of the modelling function as well as new methods operating on the associated fitted model objects, so that the new software integrates easily into the computational toolbox for modelling count data in R. The release of a plug-in in order to use the package from the interface R Commander tries to contribute to the spreading of the model among non-advanced users. We illustrate the usage and the possibilities of the software with two examples from the fields of health and sport.
从统计学诞生之初起,理解随机变量为何实际上是随机的就一直处于统计学的核心。用于计数数据的广义华林回归模型解释了固有变异性由三个可能的来源给出:随机性、易患性和倾向性。该模型扩展了负二项回归模型,并且它不属于广义线性模型族。为了避免这个缺点,我们开发了用于拟合、描述和验证该模型的GWRM R包。我们在本交流中介绍的版本提供了建模函数的新设计以及对相关拟合模型对象进行操作的新方法,以便新软件能够轻松集成到用于在R中对计数数据进行建模的计算工具箱中。发布一个插件以便从R Commander界面使用该包,试图促进该模型在非高级用户中的传播。我们用健康和体育领域的两个例子来说明该软件的用法和可能性。