Suppr超能文献

由安德森局域化引起的量子非马尔可夫性。

Quantum non-Markovianity induced by Anderson localization.

机构信息

Quantum Technology Lab, Dipartimento di Fisica, Università degli Studi di Milano, 20133 Milano, Italy.

INFN, Sezione di Milano, I-20133 Milano, Italy.

出版信息

Sci Rep. 2017 Feb 16;7:42729. doi: 10.1038/srep42729.

Abstract

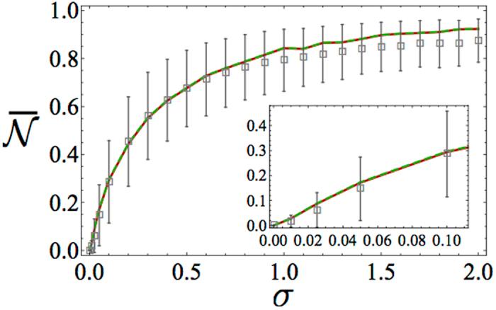
As discovered by P. W. Anderson, excitations do not propagate freely in a disordered lattice, but, due to destructive interference, they localise. As a consequence, when an atom interacts with a disordered lattice, one indeed observes a non-trivial excitation exchange between atom and lattice. Such non-trivial atomic dynamics will in general be characterised also by a non-trivial quantum information backflow, a clear signature of non-Markovian dynamics. To investigate the above scenario, we consider a quantum emitter, or atom, weakly coupled to a uniform coupled-cavity array (CCA). If initially excited, in the absence of disorder, the emitter undergoes a Markovian spontaneous emission by releasing all its excitation into the CCA (initially in its vacuum state). By introducing static disorder in the CCA the field normal modes become Anderson-localized, giving rise to a non-Markovian atomic dynamics. We show the existence of a functional relationship between a rigorous measure of quantum non-Markovianity and the CCA localization. We furthermore show that the average non-Markovianity of the atomic dynamics is well-described by a phenomenological model in which the atom is coupled, at the same time, to a single mode and to a standard - Markovian - dissipative bath.

摘要

正如 P. W. 安德森所发现的,激发在无序晶格中不能自由传播,而是由于破坏性干涉而局部化。因此,当原子与无序晶格相互作用时,确实会观察到原子与晶格之间的非平凡激发交换。这种非平凡的原子动力学通常也会表现出非马尔可夫动力学的非平凡量子信息回流,这是一个明显的非马尔可夫动力学特征。为了研究上述情况,我们考虑一个弱耦合到均匀耦合腔阵列(CCA)的量子发射器或原子。如果初始时被激发,在没有无序的情况下,发射器会通过将其所有激发释放到 CCA 中(最初处于真空状态)经历一个马尔可夫自发发射。通过在 CCA 中引入静态无序,场的正常模式会被安德森局域化,从而产生非马尔可夫原子动力学。我们展示了严格的量子非马尔可夫性度量和 CCA 局域化之间存在功能关系。此外,我们还表明,原子动力学的平均非马尔可夫性可以很好地用一个唯象模型来描述,其中原子同时与一个模式和一个标准的 - 马尔可夫 - 耗散浴耦合。

https://cdn.ncbi.nlm.nih.gov/pmc/blobs/5338/5311917/4bf5b602bed9/srep42729-f1.jpg

文献AI研究员

20分钟写一篇综述,助力文献阅读效率提升50倍。

立即体验

用中文搜PubMed

大模型驱动的PubMed中文搜索引擎

马上搜索

文档翻译

学术文献翻译模型,支持多种主流文档格式。

立即体验