Suppr超能文献

一种通过超高效液相色谱-三重四极杆质谱联用(UHPLC-QqQ)对生物活性葡萄芪类化合物进行聚焦多反应监测(MRM)的定量方法。

A Focused Multiple Reaction Monitoring (MRM) Quantitative Method for Bioactive Grapevine Stilbenes by Ultra-High-Performance Liquid Chromatography Coupled to Triple-Quadrupole Mass Spectrometry (UHPLC-QqQ).

作者信息

Hurtado-Gaitán Elías, Sellés-Marchart Susana, Martínez-Márquez Ascensión, Samper-Herrero Antonio, Bru-Martínez Roque

机构信息

Departamento Agroquímica y Bioquímica, Facultad de Ciencias, Universidad de Alicante, 03690 Alicante, Spain.

Genomics and Proteomics Unit, SSTTI Universidad de Alicante, 03690 Alicante, Spain.

出版信息

Molecules. 2017 Mar 7;22(3):418. doi: 10.3390/molecules22030418.

Abstract

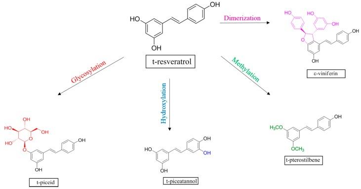
Grapevine stilbenes are a family of polyphenols which derive from -resveratrol having antifungal and antimicrobial properties, thus being considered as phytoalexins. In addition to their diverse bioactive properties in animal models, they highlight a strong potential in human health maintenance and promotion. Due to this relevance, highly-specific qualitative and quantitative methods of analysis are necessary to accurately analyze stilbenes in different matrices derived from grapevine. Here, we developed a rapid, sensitive, and specific analysis method using ultra-high-performance liquid chromatography coupled to triple-quadrupole mass spectrometry (UHPLC-QqQ) in MRM mode to detect and quantify five grapevine stilbenes, -resveratrol, -piceid, -piceatannol, -pterostilbene, and -ε-viniferin, whose interest in relation to human health is continuously growing. The method was optimized to minimize in-source fragmentation of piceid and to avoid co-elution of -piceid and -resveratrol, as both are detected with resveratrol transitions. The applicability of the developed method of stilbene analysis was tested successfully in different complex matrices including cellular extracts of cell cultures, reaction media of biotransformation assays, and red wine.

摘要

葡萄芪类是一类多酚化合物,其源自具有抗真菌和抗菌特性的白藜芦醇,因此被视为植物抗毒素。除了在动物模型中具有多种生物活性外,它们在维持和促进人类健康方面具有巨大潜力。鉴于其重要性,需要高度特异性的定性和定量分析方法来准确分析源自葡萄的不同基质中的芪类化合物。在此,我们开发了一种快速、灵敏且特异的分析方法,采用超高效液相色谱-三重四极杆质谱联用仪(UHPLC-QqQ)在多反应监测(MRM)模式下检测和定量五种葡萄芪类化合物,即白藜芦醇、云杉新苷、皮屑素、紫檀芪和ε-葡萄素,它们与人类健康的相关性不断增加。该方法经过优化,以尽量减少云杉新苷的源内裂解,并避免云杉新苷和白藜芦醇的共洗脱,因为二者均通过白藜芦醇的跃迁进行检测。所开发的芪类分析方法在不同的复杂基质中成功进行了测试,包括细胞培养物的细胞提取物、生物转化试验的反应介质和红酒。

https://cdn.ncbi.nlm.nih.gov/pmc/blobs/4c2e/6155428/69a79f788b48/molecules-22-00418-g001.jpg

文献AI研究员

20分钟写一篇综述,助力文献阅读效率提升50倍。

立即体验

用中文搜PubMed

大模型驱动的PubMed中文搜索引擎

马上搜索

文档翻译

学术文献翻译模型,支持多种主流文档格式。

立即体验