Suppr超能文献

眼镜蛇如何获得其食肉毒液:细胞毒性作为一种防御性创新及其与 hooding、警戒色标记和喷毒的协同进化。

How the Cobra Got Its Flesh-Eating Venom: Cytotoxicity as a Defensive Innovation and Its Co-Evolution with Hooding, Aposematic Marking, and Spitting.

作者信息

Panagides Nadya, Jackson Timothy N W, Ikonomopoulou Maria P, Arbuckle Kevin, Pretzler Rudolf, Yang Daryl C, Ali Syed A, Koludarov Ivan, Dobson James, Sanker Brittany, Asselin Angelique, Santana Renan C, Hendrikx Iwan, van der Ploeg Harold, Tai-A-Pin Jeremie, van den Bergh Romilly, Kerkkamp Harald M I, Vonk Freek J, Naude Arno, Strydom Morné A, Jacobsz Louis, Dunstan Nathan, Jaeger Marc, Hodgson Wayne C, Miles John, Fry Bryan G

机构信息

Venom Evolution Lab, School of Biological Sciences, University of Queensland, St. Lucia, QLD 4072, Australia.

QIMR Berghofer Institute of Medical Research, Herston, QLD 4049, Australia.

出版信息

Toxins (Basel). 2017 Mar 13;9(3):103. doi: 10.3390/toxins9030103.

Abstract

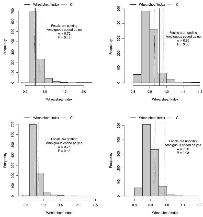
The cytotoxicity of the venom of 25 species of Old World elapid snake was tested and compared with the morphological and behavioural adaptations of hooding and spitting. We determined that, contrary to previous assumptions, the venoms of spitting species are not consistently more cytotoxic than those of closely related non-spitting species. While this correlation between spitting and non-spitting was found among African cobras, it was not present among Asian cobras. On the other hand, a consistent positive correlation was observed between cytotoxicity and utilisation of the defensive hooding display that cobras are famous for. Hooding and spitting are widely regarded as defensive adaptations, but it has hitherto been uncertain whether cytotoxicity serves a defensive purpose or is somehow useful in prey subjugation. The results of this study suggest that cytotoxicity evolved primarily as a defensive innovation and that it has co-evolved twice alongside hooding behavior: once in the and again independently in the king cobras (). There was a significant increase of cytotoxicity in the Asian linked to the evolution of bold aposematic hood markings, reinforcing the link between hooding and the evolution of defensive cytotoxic venoms. In parallel, lineages with increased cytotoxicity but lacking bold hood patterns evolved aposematic markers in the form of high contrast body banding. The results also indicate that, secondary to the evolution of venom rich in cytotoxins, spitting has evolved three times independently: once within the African , once within the Asian , and once in the genus. The evolution of cytotoxic venom thus appears to facilitate the evolution of defensive spitting behaviour. In contrast, a secondary loss of cytotoxicity and reduction of the hood occurred in the water cobra , which possesses streamlined neurotoxic venom similar to that of other aquatic elapid snakes (e.g., hydrophiine sea snakes). The results of this study make an important contribution to our growing understanding of the selection pressures shaping the evolution of snake venom and its constituent toxins. The data also aid in elucidating the relationship between these selection pressures and the medical impact of human snakebite in the developing world, as cytotoxic cobras cause considerable morbidity including loss-of-function injuries that result in economic and social burdens in the tropics of Asia and sub-Saharan Africa.

摘要

对25种东半球眼镜蛇科蛇类的毒液细胞毒性进行了测试,并与展开颈部皮褶和喷毒的形态及行为适应性进行了比较。我们确定,与之前的假设相反,喷毒蛇类的毒液细胞毒性并不始终高于与其亲缘关系相近的非喷毒蛇类。虽然在非洲眼镜蛇中发现了喷毒与非喷毒之间的这种相关性,但在亚洲眼镜蛇中却不存在。另一方面,观察到细胞毒性与眼镜蛇著名的防御性展开颈部皮褶展示的运用之间存在一致的正相关。展开颈部皮褶和喷毒被广泛视为防御性适应,但迄今为止,尚不确定细胞毒性是用于防御目的还是在某种程度上有助于制服猎物。这项研究的结果表明,细胞毒性主要是作为一种防御性创新而进化的,并且它与展开颈部皮褶行为共同进化了两次:一次在[此处原文缺失相关信息],另一次在眼镜王蛇([此处原文缺失相关信息])中独立进化。亚洲[此处原文缺失相关信息]的细胞毒性显著增加与醒目的警戒性颈部斑纹的进化有关联,强化了展开颈部皮褶与防御性细胞毒性毒液进化之间的联系。与此同时,细胞毒性增加但缺乏醒目的颈部图案的谱系以高对比度身体带状斑纹的形式进化出了警戒性特征。结果还表明,在富含细胞毒素的毒液进化之后,喷毒行为独立进化了三次:一次在非洲[此处原文缺失相关信息]中,一次在亚洲[此处原文缺失相关信息]中,还有一次在[此处原文缺失相关信息]属中。因此,细胞毒性毒液的进化似乎促进了防御性喷毒行为的进化。相比之下,水眼镜蛇([此处原文缺失相关信息])出现了细胞毒性的二次丧失和颈部皮褶的退化,它拥有与其他水生眼镜蛇科蛇类(如扁尾海蛇)类似的流线型神经毒性毒液。这项研究的结果为我们日益深入理解塑造蛇毒及其组成毒素进化的选择压力做出了重要贡献。这些数据也有助于阐明这些选择压力与发展中世界人类蛇咬伤的医学影响之间的关系,因为具有细胞毒性的眼镜蛇会导致相当高的发病率,包括功能丧失性损伤,这在亚洲热带地区和撒哈拉以南非洲造成了经济和社会负担。

https://cdn.ncbi.nlm.nih.gov/pmc/blobs/d3ca/5371858/b6f1cd76eff8/toxins-09-00103-g001.jpg

文献AI研究员

20分钟写一篇综述,助力文献阅读效率提升50倍。

立即体验

用中文搜PubMed

大模型驱动的PubMed中文搜索引擎

马上搜索

文档翻译

学术文献翻译模型,支持多种主流文档格式。

立即体验