Suppr超能文献

阐明3-羟基脂肪酸在与变形虫相互作用中的作用。

Elucidation of the Role of 3-Hydroxy Fatty Acids in -amoeba Interactions.

作者信息

Madu Uju L, Ogundeji Adepemi O, Pohl Carolina H, Albertyn Jacobus, Sebolai Olihile M

机构信息

Pathogenic Yeast Research Group, Department of Microbial, Biochemical and Food Biotechnology, University of the Free StateBloemfontein, South Africa.

出版信息

Front Microbiol. 2017 Apr 26;8:765. doi: 10.3389/fmicb.2017.00765. eCollection 2017.

Abstract

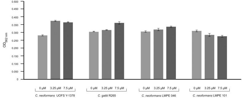
We previously reported that 3-hydroxy fatty acids promoted the survival of cryptococcal cells when acted upon by amoebae. To expand on this, the current study sought to explain how these molecules may protect cells. Our data suggest that 3-hydroxy fatty acids may subvert the internalization of cryptococcal cells via suppression of the levels of a fetuin A-like amoebal protein, which may be important for enhancing phagocytosis. Additionally, we show that an acapsular strain (that is devoid of 3-hydroxy fatty acids) was protected against the effects of hydrogen peroxide when exogenous 3-hydroxy fatty acids were present, but not in the absence of 3-hydroxy fatty acids. A similar response profile was noted when a strain with a capsule was challenged with hydrogen peroxide. We also show that cryptococcal cells that naturally produce 3-hydroxy fatty acids were more resistant to the effects of amoebapore (an amoeba-specific hydrolytic enzyme), compared to cells that do not produce these molecules. Taken together, our findings suggest that 3-hydroxy fatty acids possess an anti-phagocytic activity that may be expressed when cells interact with macrophages. This may allow the yeast cells to evade immuno-processing.

摘要

我们之前报道过,3-羟基脂肪酸在受变形虫作用时能促进隐球菌细胞的存活。为进一步探讨这一现象,本研究试图解释这些分子是如何保护细胞的。我们的数据表明,3-羟基脂肪酸可能通过抑制一种类胎球蛋白A的变形虫蛋白水平来颠覆隐球菌细胞的内化过程,而这种蛋白可能对增强吞噬作用很重要。此外,我们发现,当存在外源性3-羟基脂肪酸时,无荚膜菌株(缺乏3-羟基脂肪酸)能免受过氧化氢的影响,但在没有3-羟基脂肪酸时则不能。当有荚膜菌株受到过氧化氢攻击时,也观察到了类似的反应模式。我们还表明,与不产生这些分子的细胞相比,天然产生3-羟基脂肪酸的隐球菌细胞对变形虫穿孔素(一种变形虫特异性水解酶)的作用更具抗性。综上所述,我们的研究结果表明,3-羟基脂肪酸具有抗吞噬活性,当细胞与巨噬细胞相互作用时可能会表现出来。这可能使酵母细胞逃避免疫处理。

https://cdn.ncbi.nlm.nih.gov/pmc/blobs/46ae/5405085/ac3fc6f5fe05/fmicb-08-00765-g001.jpg

文献AI研究员

20分钟写一篇综述,助力文献阅读效率提升50倍。

立即体验

用中文搜PubMed

大模型驱动的PubMed中文搜索引擎

马上搜索

文档翻译

学术文献翻译模型,支持多种主流文档格式。

立即体验