Klineova Sylvia, Farber Rebecca, Saiote Catarina, Farrell Colleen, Delman Bradley N, Tanenbaum Lawrence N, Friedman Joshua, Inglese Matilde, Lublin Fred D, Krieger Stephen
The Corinne Goldsmith Dickinson Center for Multiple Sclerosis, Icahn School of Medicine at Mount Sinai, USA.
Department of Neurology, Icahn School of Medicine at Mount Sinai, USA.
Mult Scler J Exp Transl Clin. 2016 Jun 23;2:2055217316655365. doi: 10.1177/2055217316655365. eCollection 2016 Jan-Dec.
OBJECTIVE/BACKGROUND: The majority of multiple sclerosis patients experience impaired walking ability, which impacts quality of life. Timed 25-foot walk is commonly used to gauge gait impairment but results can be broadly variable. Objective biological markers that correlate closely with patients' disability are needed. Diffusion tensor imaging, quantifying fiber tract integrity, might provide such information. In this project we analyzed relationships between timed 25-foot walk, conventional and diffusion tensor imaging magnetic resonance imaging markers.
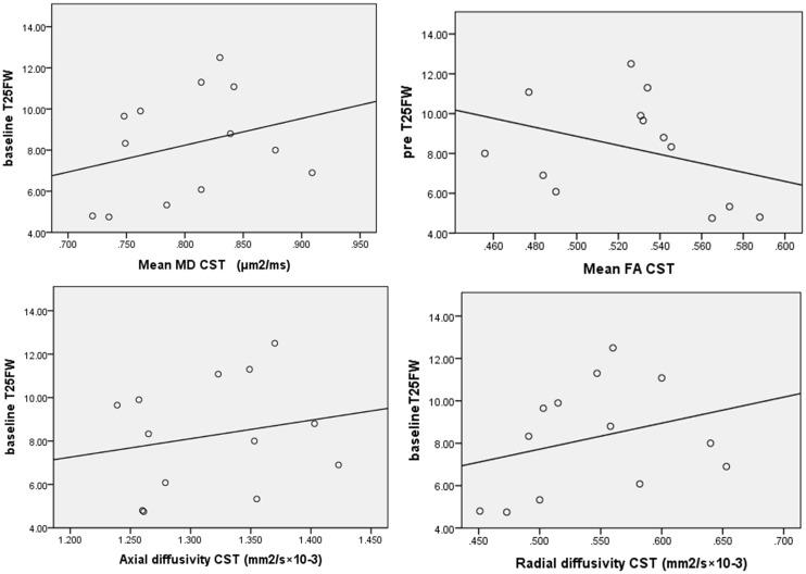
DESIGN/METHODS: A cohort of gait impaired multiple sclerosis patients underwent brain and cervical spinal cord magnetic resonance imaging. Diffusion tensor imaging mean diffusivity and fractional anisotropy were measured on the brain corticospinal tracts and spinal restricted field of vision at C2/3. We analyzed relationships between baseline timed 25-foot walk, conventional and diffusion tensor imaging magnetic resonance imaging markers.
Multivariate linear regression analysis showed a statistically significant association between several magnetic resonance imaging and diffusion tensor imaging metrics and timed 25-foot walk: brain mean diffusivity corticospinal tracts (p = 0.004), brain corticospinal tracts axial and radial diffusivity (P = 0.004 and 0.02), grey matter volume (p = 0.05), white matter volume (p = 0.03) and normalized brain volume (P = 0.01). The linear regression model containing mean diffusivity corticospinal tracts and controlled for gait assistance was the best fit model (p = 0.004).
Our results suggest an association between diffusion tensor imaging metrics and gait impairment, evidenced by brain mean diffusivity corticospinal tracts and timed 25-foot walk.
目的/背景:大多数多发性硬化症患者存在行走能力受损的情况,这会影响生活质量。25英尺计时步行常用于评估步态障碍,但结果差异很大。需要与患者残疾密切相关的客观生物标志物。扩散张量成像可量化纤维束完整性,可能会提供此类信息。在本项目中,我们分析了25英尺计时步行、传统磁共振成像和扩散张量成像标志物之间的关系。
设计/方法:一组步态受损的多发性硬化症患者接受了脑部和颈脊髓磁共振成像检查。在大脑皮质脊髓束和C2/3水平的脊髓有限视野区域测量扩散张量成像的平均扩散率和各向异性分数。我们分析了基线25英尺计时步行、传统磁共振成像和扩散张量成像标志物之间的关系。
多变量线性回归分析显示,几种磁共振成像和扩散张量成像指标与25英尺计时步行之间存在统计学显著关联:大脑皮质脊髓束平均扩散率(p = 0.004)、大脑皮质脊髓束轴向和径向扩散率(P = 0.004和0.02)、灰质体积(p = 0.05)、白质体积(p = 0.03)和标准化脑体积(P = 0.01)。包含皮质脊髓束平均扩散率并控制步态辅助的线性回归模型是最佳拟合模型(p = 0.004)。
我们的结果表明,扩散张量成像指标与步态障碍之间存在关联,大脑皮质脊髓束平均扩散率和25英尺计时步行证明了这一点。