Lepadatu Serban, Vopson Melvin M
Jeremiah Horrocks Institute for Mathematics, Physics and Astronomy, University of Central Lancashire, Preston PR1 2HE, UK.
SEES, Faculty of Science, University of Portsmouth, Portsmouth PO1 3QL, UK.
Materials (Basel). 2017 Aug 25;10(9):991. doi: 10.3390/ma10090991.
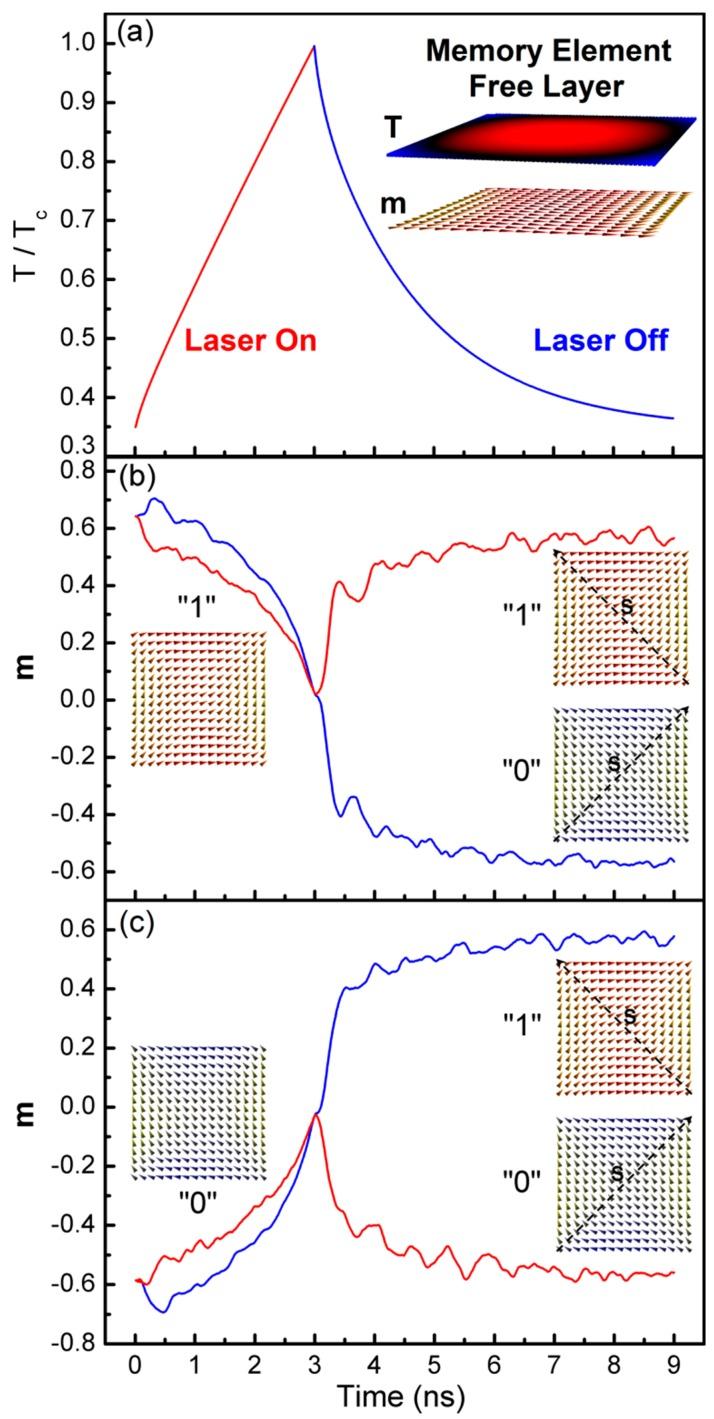
A heat-assisted multiferroic solid-state memory design is proposed and analysed, based on a PbNbZrSnTiO₃ antiferroelectric layer and NiFe magnetic free layer. Information is stored as magnetisation direction in the free layer of a magnetic tunnel junction element. The bit writing process is contactless and relies on triggering thermally activated magnetisation switching of the free layer towards a strain-induced anisotropy easy axis. A stress is generated using the antiferroelectric layer by voltage-induced antiferroelectric to ferroelectric phase change, and this is transmitted to the magnetic free layer by strain-mediated coupling. The thermally activated strain-induced magnetisation switching is analysed here using a three-dimensional, temperature-dependent magnetisation dynamics model, based on simultaneous evaluation of the stochastic Landau-Lifshitz-Bloch equation and heat flow equation, together with stochastic thermal fields and magnetoelastic contributions. The magnetisation switching probability is calculated as a function of stress magnitude and maximum heat pulse temperature. An operating region is identified, where magnetisation switching always occurs, with stress values ranging from 80 to 180 MPa, and maximum temperatures normalised to the Curie temperature ranging from 0.65 to 0.99.
提出并分析了一种基于PbNbZrSnTiO₃反铁电层和NiFe磁性自由层的热辅助多铁性固态存储器设计。信息以磁化方向存储在磁性隧道结元件的自由层中。位写入过程是非接触式的,依赖于触发自由层热激活磁化向应变诱导各向异性易轴的切换。通过电压诱导的反铁电到铁电相变利用反铁电层产生应力,并通过应变介导耦合将其传递到磁性自由层。在此,基于对随机朗道-里夫希茨-布洛赫方程和热流方程的同时评估,以及随机热场和磁弹性贡献,使用三维、温度相关的磁化动力学模型分析热激活应变诱导的磁化切换。计算磁化切换概率作为应力大小和最大热脉冲温度的函数。确定了一个工作区域,在该区域中,磁化切换总是发生,应力值范围为80至180MPa,归一化到居里温度的最高温度范围为0.65至0.99。