Fukuda Yukihiro, Okamoto Mitsunori, Tomomori Shunsuke, Matsumura Hiroya, Tokuyama Takehito, Nakano Yukiko, Kihara Yasuki
Department of Cardiovascular Medicine, Hiroshima University Graduate School of Biomedical and Health Sciences, Japan.
Department of Cardiology, Hiroshima Prefectural Hospital, Japan.
Intern Med. 2018 Mar 1;57(5):633-640. doi: 10.2169/internalmedicine.9243-17. Epub 2017 Nov 20.
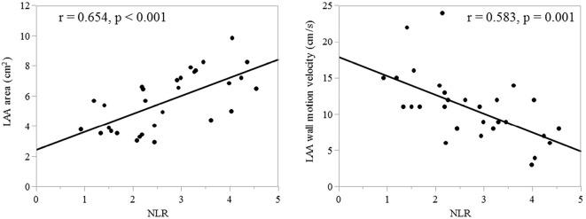
Objective The neutrophil-to-lymphocyte ratio (NLR) is an inflammation marker that can be used to detect atrial inflammatory changes, which may contribute to a reduced left atrial (LA) function and thrombosis. Our study aimed to determine whether or not the association of NLR with the LA appendage (LAA) function in relation to thrombogenesis differs from the association with the LA body function in paroxysmal atrial fibrillation (PAF) patients. Methods A total of 183 PAF patients were studied. The LA volume index, mitral flow velocity (A), and mitral annular motion velocity (A') were examined using transthoracic echocardiography. The LAA area, LAA wall motion velocity, and presence of spontaneous echo contrast (SEC) were examined using transesophageal echocardiography. Results The NLR of patients with cerebral embolism was significantly greater than in patients without the disorder. A cut-off point of 2.5 for the NLR had a sensitivity of 71% and a specificity of 74% in predicting cerebral embolism. The patients with an NLR ≥2.5 had a higher CHADS2 score and greater LA volume index or LAA area than those with an NLR <2.5. The NLR was an independent risk factor for SEC and was significantly correlated with the LAA wall motion velocity (r=-0.409) in 153 patients without SEC and with the LAA wall motion velocity and LAA area (r=-0.583, r=0.654, respectively) in 30 patients with SEC, but not with the LA volume index, A, or A' in either group. Conclusion In PAF patients, a high NLR indicates thrombogenesis with a high degree of certainty and is associated with reduced LAA contraction rather than with the LA body function.
目的 中性粒细胞与淋巴细胞比值(NLR)是一种炎症标志物,可用于检测心房炎症变化,这可能导致左心房(LA)功能降低和血栓形成。我们的研究旨在确定在阵发性心房颤动(PAF)患者中,NLR与血栓形成相关的左心耳(LAA)功能的关联是否不同于与左心房体部功能的关联。方法 共研究了183例PAF患者。采用经胸超声心动图检查左心房容积指数、二尖瓣血流速度(A)和二尖瓣环运动速度(A')。采用经食管超声心动图检查左心耳面积、左心耳壁运动速度和自发显影(SEC)情况。结果 发生脑栓塞的患者的NLR显著高于未发生该疾病的患者。NLR的截断值为2.5时,预测脑栓塞的灵敏度为71%,特异度为74%。NLR≥2.5的患者比NLR<2.5的患者具有更高的CHADS2评分以及更大的左心房容积指数或左心耳面积。NLR是SEC的独立危险因素,在153例无SEC的患者中与左心耳壁运动速度显著相关(r=-0.409),在30例有SEC的患者中与左心耳壁运动速度和左心耳面积显著相关(分别为r=-0.583,r=0.654),但在两组中均与左心房容积指数、A或A'无关。结论 在PAF患者中,高NLR高度确定性地表明血栓形成,且与左心耳收缩减弱相关,而非与左心房体部功能相关。