Department of Chemistry, University of York, York, YO10 5DD, UK.
Department of Physics, University of York, York, YO10 5DD, UK.
ChemSusChem. 2018 Jan 10;11(1):137-148. doi: 10.1002/cssc.201702087. Epub 2017 Dec 12.
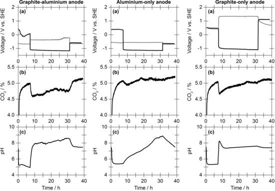
An electrochemical cell comprising a novel dual-component graphite and Earth-crust abundant metal anode, a hydrogen producing cathode and an aqueous sodium chloride electrolyte was constructed and used for carbon dioxide mineralisation. Under an atmosphere of 5 % carbon dioxide in nitrogen, the cell exhibited both capacitive and oxidative electrochemistry at the anode. The graphite acted as a supercapacitive reagent concentrator, pumping carbon dioxide into aqueous solution as hydrogen carbonate. Simultaneous oxidation of the anodic metal generated cations, which reacted with the hydrogen carbonate to give mineralised carbon dioxide. Whilst conventional electrochemical carbon dioxide reduction requires hydrogen, this cell generates hydrogen at the cathode. Carbon capture can be achieved in a highly sustainable manner using scrap metal within the anode, seawater as the electrolyte, an industrially relevant gas stream and a solar panel as an effective zero-carbon energy source.
一种电化学电池,包括新型双组分石墨和地壳丰富金属阳极、产氢阴极和水性氯化钠电解质,用于二氧化碳矿化。在 5%二氧化碳在氮气的气氛下,电池在阳极表现出电容和氧化电化学。石墨作为超级电容器试剂浓缩器,将二氧化碳泵入水溶液中形成碳酸氢盐。同时,阳极金属的氧化产生阳离子,与碳酸氢盐反应生成矿化的二氧化碳。虽然传统的电化学二氧化碳还原需要氢气,但该电池在阴极产生氢气。使用阳极中的废金属、海水作为电解质、工业相关气流和太阳能电池板作为有效零碳能源,可以以高度可持续的方式实现碳捕获。