Suppr超能文献

引入致敏性食物与儿童过敏性疾病风险

Allergenic food introduction and risk of childhood atopic diseases.

作者信息

Elbert Niels J, Kiefte-de Jong Jessica C, Voortman Trudy, Nijsten Tamar E C, de Jong Nicolette W, Jaddoe Vincent W V, de Jongste Johan C, Gerth van Wijk Roy, Duijts Liesbeth, Pasmans Suzanne G M A

机构信息

The Generation R Study Group, Erasmus MC, University Medical Center Rotterdam, Rotterdam, The Netherlands.

Department of Dermatology, Erasmus MC, University Medical Center Rotterdam, Rotterdam, The Netherlands.

出版信息

PLoS One. 2017 Nov 27;12(11):e0187999. doi: 10.1371/journal.pone.0187999. eCollection 2017.

Abstract

BACKGROUND

The role of timing and diversity of allergenic food introduction in the development of childhood allergic sensitization and atopic diseases is controversial.

OBJECTIVE

To examine whether timing and diversity of allergenic food introduction are associated with allergic sensitization, allergy and eczema in children until age 10 years.

MATERIALS AND METHODS

This study among 5,202 children was performed in a population-based prospective cohort. Timing (age ≤6 months vs. >6 months) and diversity (0, 1, 2 and ≥3 foods) of allergenic food (cow's milk, hen's egg, peanut, tree nuts, soy and gluten) introduction were assessed by questionnaires at ages 6 and 12 months. At age 10 years, inhalant and food allergic sensitization were measured by skin prick tests, and physician-diagnosed inhalant and food allergy by questionnaire. Data on parental-reported physician-diagnosed eczema were obtained from birth until age 10 years.

RESULTS

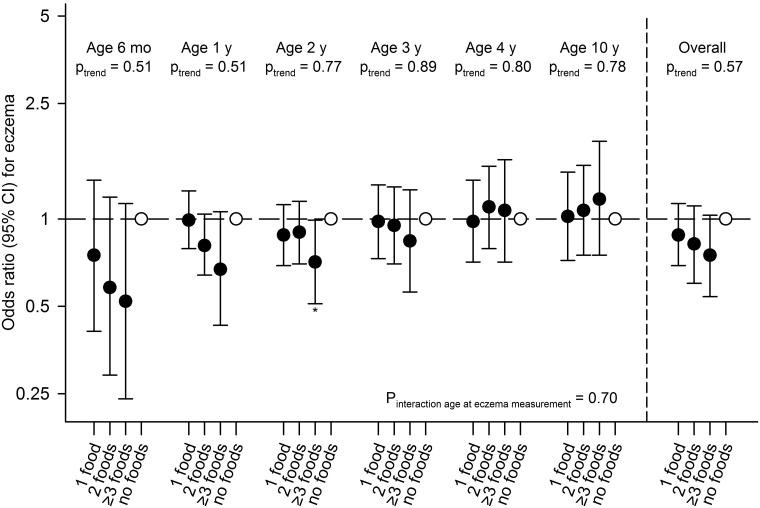
Children introduced to gluten at age ≤6 months had a decreased risk of eczema (aOR (95% CI): 0.84 (0.72, 0.99)), compared with children introduced to gluten at age >6 months. However, timing of allergenic food introduction was not associated with allergic sensitization or physician-diagnosed allergy. Children introduced to ≥3 allergenic foods at age ≤6 months had a decreased risk of physician-diagnosed inhalant allergy (0.64 (0.42, 0.98)), compared with children not introduced to any allergenic food at age ≤6 months. However, diversity of allergenic food introduction was not associated with allergic sensitization, physician-diagnosed food allergy or eczema.

CONCLUSION

Neither timing nor diversity of allergenic food introduction was consistently associated with childhood allergic sensitization, allergy or eczema.

摘要

背景

引入致敏性食物的时间和多样性在儿童过敏性致敏及特应性疾病发展过程中的作用存在争议。

目的

研究引入致敏性食物的时间和多样性与10岁前儿童的过敏性致敏、过敏及湿疹之间是否存在关联。

材料与方法

本研究对5202名儿童进行了基于人群的前瞻性队列研究。通过6个月和12个月时的问卷调查评估引入致敏性食物(牛奶、鸡蛋、花生、坚果、大豆和麸质)的时间(年龄≤6个月与>6个月)和多样性(0、1、2及≥3种食物)。在10岁时,通过皮肤点刺试验测量吸入性和食物过敏性致敏情况,并通过问卷调查评估医生诊断的吸入性和食物过敏情况。收集从出生至10岁期间父母报告的医生诊断的湿疹数据。

结果

与6个月后引入麸质的儿童相比,6个月及以内引入麸质的儿童患湿疹的风险降低(调整后比值比(95%置信区间):0.84(0.72,0.99))。然而,引入致敏性食物的时间与过敏性致敏或医生诊断的过敏无关。与6个月及以内未引入任何致敏性食物的儿童相比,6个月及以内引入≥3种致敏性食物的儿童医生诊断的吸入性过敏风险降低(0.64(0.42,0.98))。然而,引入致敏性食物的多样性与过敏性致敏、医生诊断的食物过敏或湿疹无关。

结论

引入致敏性食物的时间和多样性均与儿童过敏性致敏、过敏或湿疹无持续关联。

https://cdn.ncbi.nlm.nih.gov/pmc/blobs/240b/5703454/706c432c44eb/pone.0187999.g001.jpg

文献AI研究员

20分钟写一篇综述,助力文献阅读效率提升50倍。

立即体验

用中文搜PubMed

大模型驱动的PubMed中文搜索引擎

马上搜索

文档翻译

学术文献翻译模型,支持多种主流文档格式。

立即体验