Suppr超能文献

一项观察改良式逐步递增瓦氏动作对血管迷走性晕厥患者安全性和有效性的单中心随机对照试验。

A single-center randomized controlled trial observing the safety and efficacy of modified step-up graded Valsalva manoeuver in patients with vasovagal syncope.

作者信息

He Li, Wang Lan, Li Lun, Liu Xiaoyan, Yu Yijun, Zeng Xiaoyun, Li Huanhuan, Gu Ye

机构信息

Department of Cardiology, Puai Hospital, Huazhong University of Science and Technology, Wuhan, Hubei province, China.

Department of Neurology, Puai Hospital, Huazhong University of Science and Technology, Wuhan, Hubei province, China.

出版信息

PLoS One. 2018 Jan 30;13(1):e0191880. doi: 10.1371/journal.pone.0191880. eCollection 2018.

Abstract

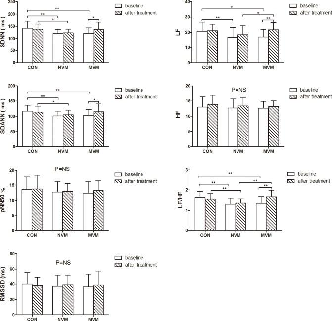
Non-pharmacological therapies, especially the physical maneuvers, are viewed as important and promising strategies for reducing syncope recurrences in vasovagal syncope (VVS) patients. We observed the efficacy of a modified Valsalva maneuver (MVM) in VVS patients. 72 VVS patients with syncope history and positive head-up tilt table testing (HUTT) results were randomly divided into conventional treatment group (NVM group, n = 36) and conventional treatment plus standard MVM for 30 days group (MVM group, n = 36). Incidence of recurrent syncope after 12 months (6.5% vs. 41.2%, P<0.01) and rate of positive HUTT after 30 days (9.7% vs.79.4%, P<0.01) were significantly lower in MVM group than in NVM group. HRV results showed that low frequency (LF), LF/ high frequency (HF), standard deviation of NN intervals (SDNN) and standard deviation of all 5-min average NN intervals (SDANN) values were significantly lower in the NVM and MVM groups than in the control group at baseline. After 30 days treatment, LF, LF/HF, SDNN, SDANN values were significantly higher compared to baseline in MVM group. Results of Cox proportional hazard model showed that higher SDNN and SDANN values at 30 days after intervention were protective factors, while positive HUTT at 30 days after intervention was risk factor for recurrent syncope. Our results indicate that 30 days MVM intervention could effectively reduce the incidence of recurrent syncope up to 12 months in VVS patients, possibly through improving sympathetic function of VVS patients.

摘要

非药物治疗,尤其是物理手法,被视为减少血管迷走性晕厥(VVS)患者晕厥复发的重要且有前景的策略。我们观察了改良瓦尔萨尔瓦动作(MVM)对VVS患者的疗效。72例有晕厥病史且直立倾斜试验(HUTT)结果为阳性的VVS患者被随机分为常规治疗组(非MVM组,n = 36)和常规治疗加标准MVM治疗30天组(MVM组,n = 36)。MVM组12个月后复发性晕厥的发生率(6.5%对41.2%,P<0.01)和30天后HUTT阳性率(9.7%对79.4%,P<0.01)显著低于非MVM组。心率变异性(HRV)结果显示,在基线时,非MVM组和MVM组的低频(LF)、LF/高频(HF)、NN间期标准差(SDNN)以及所有5分钟平均NN间期标准差(SDANN)值均显著低于对照组。治疗30天后,MVM组的LF、LF/HF、SDNN、SDANN值与基线相比显著升高。Cox比例风险模型结果显示,干预后30天较高的SDNN和SDANN值是复发性晕厥的保护因素,而干预后30天HUTT阳性是复发性晕厥的危险因素。我们的结果表明,30天的MVM干预可有效降低VVS患者长达12个月的复发性晕厥发生率,可能是通过改善VVS患者的交感神经功能实现的。

https://cdn.ncbi.nlm.nih.gov/pmc/blobs/8c3d/5790265/a8b80cd77070/pone.0191880.g001.jpg

文献AI研究员

20分钟写一篇综述,助力文献阅读效率提升50倍。

立即体验

用中文搜PubMed

大模型驱动的PubMed中文搜索引擎

马上搜索

文档翻译

学术文献翻译模型,支持多种主流文档格式。

立即体验