Museu Paraense Emílio Goeldi, Belém, Pará, Brazil.
Sam Noble Museum, University of Oklahoma, Norman, Oklahoma, United States of America.
PLoS One. 2018 Mar 7;13(3):e0192834. doi: 10.1371/journal.pone.0192834. eCollection 2018.
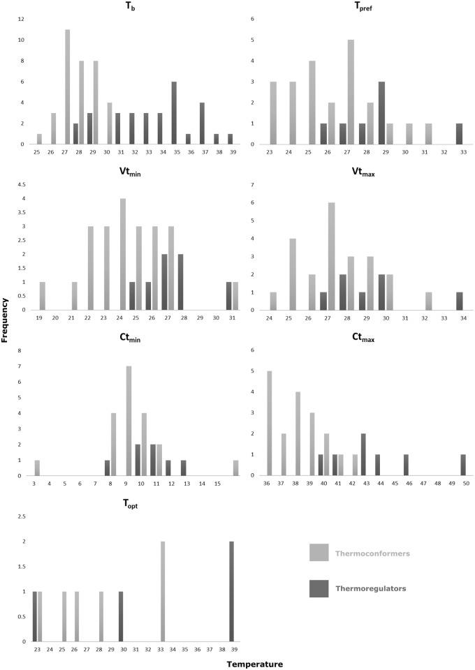
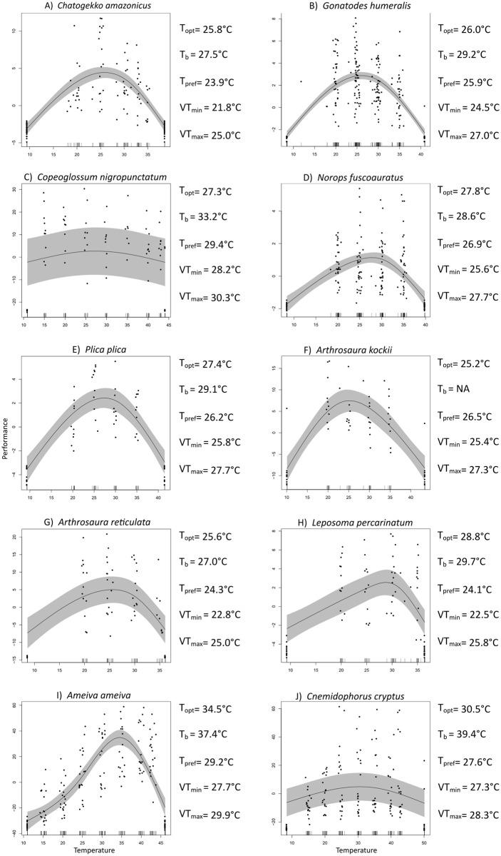
We summarize thermal-biology data of 69 species of Amazonian lizards, including mode of thermoregulation and field-active body temperatures (Tb). We also provide new data on preferred temperatures (Tpref), voluntary and thermal-tolerance ranges, and thermal-performance curves (TPC's) for 27 species from nine sites in the Brazilian Amazonia. We tested for phylogenetic signal and pairwise correlations among thermal traits. We found that species generally categorized as thermoregulators have the highest mean values for all thermal traits, and broader ranges for Tb, critical thermal maximum (CTmax) and optimal (Topt) temperatures. Species generally categorized as thermoconformers have large ranges for Tpref, critical thermal minimum (CTmin), and minimum voluntary (VTmin) temperatures for performance. Despite these differences, our results show that all thermal characteristics overlap between both groups and suggest that Amazonian lizards do not fit into discrete thermoregulatory categories. The traits are all correlated, with the exceptions of (1) Topt, which does not correlate with CTmax, and (2) CTmin, and correlates only with Topt. Weak phylogenetic signals for Tb, Tpref and VTmin indicate that these characters may be shaped by local environmental conditions and influenced by phylogeny. We found that open-habitat species perform well under present environmental conditions, without experiencing detectable thermal stress from high environmental temperatures induced in lab experiments. For forest-dwelling lizards, we expect warming trends in Amazonia to induce thermal stress, as temperatures surpass the thermal tolerances for these species.
我们总结了 69 种亚马逊蜥蜴的热生物学数据,包括体温调节方式和野外活动体温(Tb)。我们还提供了来自巴西亚马逊九个地点的 27 种蜥蜴的偏好温度(Tpref)、自愿和热耐受范围以及热性能曲线(TPC)的新数据。我们测试了热特征之间的系统发育信号和成对相关性。我们发现,一般归类为体温调节者的物种具有所有热特征的最高平均值,Tb、临界热最大值(CTmax)和最佳(Topt)温度的范围也较宽。一般归类为体温顺应者的物种的 Tpref、临界热最小值(CTmin)和最小自愿(VTmin)温度范围较大,以适应性能。尽管存在这些差异,但我们的结果表明,两组之间的所有热特征都重叠,并表明亚马逊蜥蜴不符合离散的体温调节类别。这些特征都是相关的,除了(1)Topt 与 CTmax 不相关,以及(2)CTmin 仅与 Topt 相关。Tb、Tpref 和 VTmin 的系统发育信号较弱表明,这些特征可能受到局部环境条件的影响,并受到系统发育的影响。我们发现,开阔栖息地的物种在当前环境条件下表现良好,不会在实验室实验中因环境温度升高而经历可察觉的热应激。对于生活在森林中的蜥蜴,我们预计亚马逊地区的变暖趋势将导致热应激,因为温度超过了这些物种的热耐受范围。