Suppr超能文献

基于噻吩吡啶骨架的新型系列氨基酸前药的合成及其抗血小板活性评价。

Synthesis of a Novel Series of Amino Acid Prodrugs Based on Thienopyridine Scaffolds and Evaluation of Their Antiplatelet Activity.

机构信息

School of Pharmaceutical Engineering, and Key Laboratory of Structure-Based Drug Design & Discovery (Ministry of Education), Shenyang Pharmaceutical University, Shenyang 110016, China.

Tianjin Key Laboratory of Molecular Design and Drug Discovery, Tianjin Institute of Pharmaceutical Research, Tianjin 300193, China.

出版信息

Molecules. 2018 Apr 28;23(5):1041. doi: 10.3390/molecules23051041.

Abstract

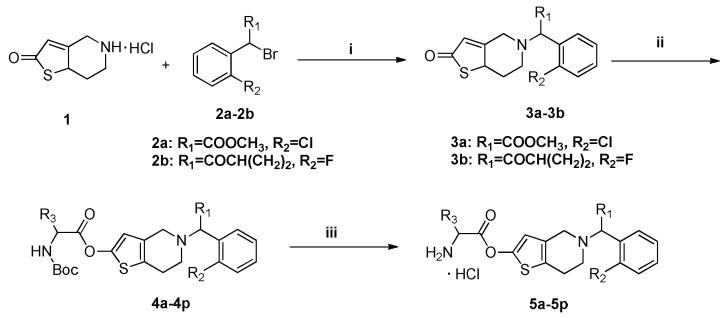
The thienopyridines class of drugs used as P2Y receptor antagonists plays a vital role in antiplatelet therapy. To further optimized this compound class, we designed and synthesized a series of amino acid prodrugs of 2-hydroxytetrahydrothienopyridine. All compounds were then evaluated for their inhibitory effect on ADP-induced platelet aggregation in rats and then ED and bleeding time of the most potent compounds were compared with commercial drugs. The results showed compound could be a potent and safe candidate for further research.

摘要

噻吩并吡啶类药物作为 P2Y 受体拮抗剂在抗血小板治疗中发挥着重要作用。为了进一步优化这个化合物类别,我们设计并合成了一系列 2-羟四氢噻吩吡啶的氨基酸前药。所有化合物都被评估了对大鼠 ADP 诱导的血小板聚集的抑制作用,然后对最有效的化合物的 ED 和出血时间与商业药物进行了比较。结果表明,化合物 可能是进一步研究的一个有潜力且安全的候选药物。

https://cdn.ncbi.nlm.nih.gov/pmc/blobs/1028/6102589/309f6e8674cb/molecules-23-01041-g001.jpg

文献AI研究员

20分钟写一篇综述,助力文献阅读效率提升50倍。

立即体验

用中文搜PubMed

大模型驱动的PubMed中文搜索引擎

马上搜索

文档翻译

学术文献翻译模型,支持多种主流文档格式。

立即体验