Suppr超能文献

具有对称双(salamo)-样四氧肟的空前荧光双核 Co 和 Zn 配合物。

Unprecedented Fluorescent Dinuclear Co and Zn Coordination Compounds with a Symmetric Bis(salamo)-Like Tetraoxime.

机构信息

School of Chemical and Biological Engineering, Lanzhou Jiaotong University, Lanzhou, 730070, China.

出版信息

Molecules. 2018 May 10;23(5):1141. doi: 10.3390/molecules23051141.

Abstract

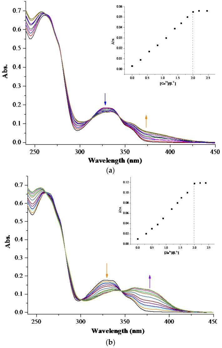
Two unprecedented homometallic Co and Zn coordination compounds, [M₂(L)(OCH₃)][M₂(L)(OAc)] (M = Co () and Zn ()), with a novel symmetric bis(salamo)-like tetraoxime ligand H₃L were synthesized and characterized by elemental analyses, infrafred (IR), ultraviolet⁻visible spectroscopy (UV-Vis), fluorescent spectra and single-crystal X-ray diffraction analyses. The unit cell of the two coordination compounds contains two crystallographically and chemically independent dinuclear coordination compounds. In the two coordination compounds, three metal ions are five-coordinated, formed two square pyramidal and a trigonal bipyramidal geometries, and the other metal ion is a hexacoordinate octahedral configuration. In addition, the coordination compound forms a 3D supramolecular structure, and the coordination compound forms a 0D dimer structure by the inter-molecular hydrogen bond interactions. Meanwhile, the fluorescence spectra of the coordination compounds and were also measured and discussed.

摘要

两种前所未有的同金属钴和锌配合物,[M₂(L)(OCH₃)][M₂(L)(OAc)](M=Co()和 Zn()),具有新颖的对称双(水杨醛亚胺)-类似四肟配体 H₃L,通过元素分析、红外(IR)、紫外可见光谱(UV-Vis)、荧光光谱和单晶 X 射线衍射分析进行了合成和表征。这两个配合物的晶胞包含两个结晶学和化学上独立的双核配位化合物。在这两个配合物中,三个金属离子都是五配位的,形成两个四方锥和一个三角双锥几何形状,而另一个金属离子是六配位的八面体构型。此外,配位化合物 形成了一个 3D 超分子结构,配位化合物 通过分子间氢键相互作用形成了一个 0D 二聚体结构。同时,还测量和讨论了配合物 和 的荧光光谱。

https://cdn.ncbi.nlm.nih.gov/pmc/blobs/9ae5/6099918/cb54bc92da2b/molecules-23-01141-g001.jpg

文献AI研究员

20分钟写一篇综述,助力文献阅读效率提升50倍。

立即体验

用中文搜PubMed

大模型驱动的PubMed中文搜索引擎

马上搜索

文档翻译

学术文献翻译模型,支持多种主流文档格式。

立即体验