EDGE Lab,School of Psychology, University of Sussex,Brighton,UK.
School of Psychology, University of Sussex,Brighton,UK.
Psychol Med. 2019 Feb;49(3):353-365. doi: 10.1017/S0033291718001137. Epub 2018 May 24.
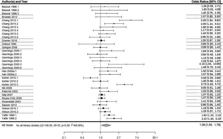
Evidence suggests that affective problems, such as depression and anxiety, increase risk for late-life dementia. However, the extent to which affective problems influence cognitive decline, even many years prior to clinical diagnosis of dementia, is not clear. The present study systematically reviews and synthesises the evidence for the association between affective problems and decline in cognitive state (i.e., decline in non-specific cognitive function) in older adults. An electronic search of PubMed, PsycInfo, Cochrane, and ScienceDirect was conducted to identify studies of the association between depression and anxiety separately and decline in cognitive state. Key inclusion criteria were prospective, longitudinal designs with a minimum follow-up period of 1 year. Data extraction and methodological quality assessment using the STROBE checklist were conducted independently by two raters. A total of 34 studies (n = 71 244) met eligibility criteria, with 32 studies measuring depression (n = 68 793), and five measuring anxiety (n = 4698). A multi-level meta-analysis revealed that depression assessed as a binary predictor (OR 1.36, 95% CI 1.05-1.76, p = 0.02) or a continuous predictor (B = -0.008, 95% CI -0.015 to -0.002, p = 0.012; OR 0.992, 95% CI 0.985-0.998) was significantly associated with decline in cognitive state. The number of anxiety studies was insufficient for meta-analysis, and they are described in a narrative review. Results of the present study improve current understanding of the temporal nature of the association between affective problems and decline in cognitive state. They also suggest that cognitive function may need to be monitored closely in individuals with affective disorders, as these individuals may be at particular risk of greater cognitive decline.
有证据表明,情感问题(如抑郁和焦虑)会增加老年痴呆症的风险。然而,情感问题在多大程度上影响认知能力下降,甚至在痴呆症临床诊断之前多年,目前还不清楚。本研究系统地回顾和综合了情感问题与老年人认知状态(即非特异性认知功能下降)下降之间关联的证据。通过电子搜索 PubMed、PsycInfo、Cochrane 和 ScienceDirect,确定了分别研究抑郁和焦虑与认知状态下降之间关联的研究。主要纳入标准是前瞻性、纵向设计,随访时间至少 1 年。使用 STROBE 清单独立进行数据提取和方法学质量评估。共有 34 项研究(n = 71244)符合入选标准,其中 32 项研究测量了抑郁(n = 68793),5 项研究测量了焦虑(n = 4698)。多水平荟萃分析显示,作为二元预测因子评估的抑郁(OR 1.36,95%CI 1.05-1.76,p = 0.02)或连续预测因子(B = -0.008,95%CI -0.015 至 -0.002,p = 0.012;OR 0.992,95%CI 0.985-0.998)与认知状态下降显著相关。焦虑研究的数量不足以进行荟萃分析,因此在叙述性综述中进行了描述。本研究的结果提高了我们对情感问题与认知状态下降之间关联的时间性质的理解。它们还表明,在患有情感障碍的个体中,可能需要密切监测认知功能,因为这些个体可能面临更大认知能力下降的特殊风险。