Suppr超能文献

基于不同天线模式的 GNSS-R 土壤湿度反演关键问题分析。

Analysis of Key Issues on GNSS-R Soil Moisture Retrieval Based on Different Antenna Patterns.

机构信息

Institute of Remote Sensing and GIS, Peking University, No. 5 Yiheyuan Road, Haidian District, Beijing 100871, China.

出版信息

Sensors (Basel). 2018 Aug 1;18(8):2498. doi: 10.3390/s18082498.

Abstract

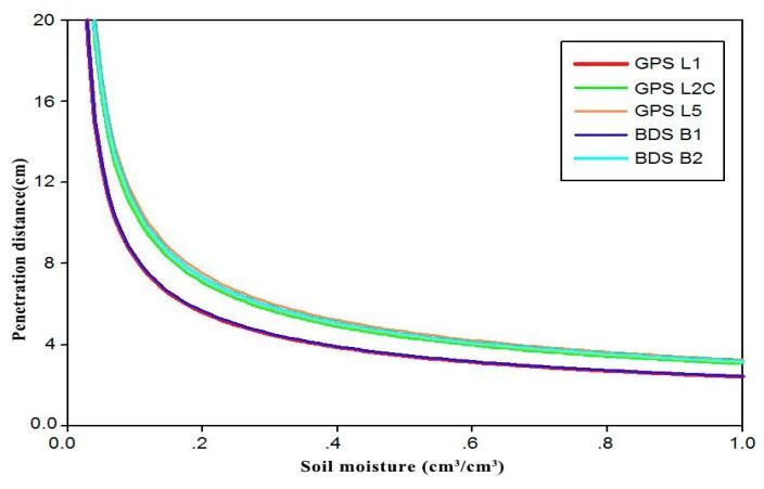
GNSS-R (Global Navigation Satellite System-Reflectometry) has been demonstrated to be a new and powerful tool to sense soil moisture in recent years. Multi-antenna pattern and single-antenna pattern have been proposed regarding how to receive and process reflected signals. Great efforts have been made concerning ground-based and air-borne observations. Meanwhile, a number of satellite-based missions have also been implemented. For the in-depth study of soil moisture remote sensing by the technique of GNSS-R, regardless of the extraction methods of the reflected signals or the types of the observation platform, three key issues have to be determined: The specular reflection point, the spatial resolution and the detection depth in the soil. However, in current literatures, there are no comprehensive explanations of the above three key issues. This paper conducts theoretical analysis and formula derivation, aiming to systematically and quantitatively determine the extent of soil moisture being detected in three dimensions from the above-mentioned aspects. To further explain how the three factors behave in the specific application, the results of two application scenarios are shown: (1) a ground-based GPS measurement in Marshall, Colorado, US from the Plate Boundary Observatory, corresponding to single-antenna pattern. The relative location of the specular reflection points, the average area of the First Fresnel Ellipse Clusters and the sensing depth of the time-series soil moisture are analyzed, and (2) an aviation experiment conducted in Zhengzhou to retrieve soil moisture content, corresponding to the multi-antenna pattern. The spatial distribution of soil moisture estimation with a certain resolution based on the flight tracks and the relevant sensing depth are manifested. For remote sensing using GNSS reflected signals, BeiDou is different from GPS mainly in the carrier frequency. Therefore, the results of this study can provide references for China's future development of the BeiDou-R technique.

摘要

GNSS-R(全球导航卫星系统反射测量)近年来已被证明是一种新的强大工具,可用于感测土壤湿度。关于如何接收和处理反射信号,已经提出了多天线模式和单天线模式。已经在地面和航空观测方面做出了巨大努力。同时,还实施了一些基于卫星的任务。为了深入研究 GNSS-R 技术的土壤湿度遥感,无论反射信号的提取方法还是观测平台的类型,都必须确定三个关键问题:镜面反射点、空间分辨率和土壤中的探测深度。然而,在当前的文献中,没有关于这三个关键问题的全面解释。本文进行了理论分析和公式推导,旨在从上述方面系统地、定量地确定在三维空间中探测到的土壤湿度的程度。为了进一步解释这三个因素在特定应用中的表现,展示了两个应用场景的结果:(1)美国科罗拉多州马绍尔的一个基于 GPS 的地面测量,对应于单天线模式。分析了镜面反射点的相对位置、第一菲涅尔椭圆簇的平均面积和时间序列土壤湿度的感测深度,(2)在郑州进行的航空实验以检索土壤湿度,对应于多天线模式。根据飞行轨迹和相关感测深度,显示了基于一定分辨率的土壤湿度估计的空间分布。对于使用 GNSS 反射信号的遥感,北斗与 GPS 的主要区别在于载波频率。因此,本研究的结果可为中国未来的北斗-R 技术发展提供参考。

https://cdn.ncbi.nlm.nih.gov/pmc/blobs/1ece/6111327/8bb8e1329a9e/sensors-18-02498-g001.jpg

文献AI研究员

20分钟写一篇综述,助力文献阅读效率提升50倍。

立即体验

用中文搜PubMed

大模型驱动的PubMed中文搜索引擎

马上搜索

文档翻译

学术文献翻译模型,支持多种主流文档格式。

立即体验