Suppr超能文献

毕赤酵母属对脱氢表雄酮(DHEA)的级联生物转化。

Cascade biotransformation of dehydroepiandrosterone (DHEA) by Beauveria species.

机构信息

Department of Chemistry, Wrocław University of Environmental and Life Sciences, Norwida 25, 50-375, Wrocław, Poland.

Department of Pathogen Genetics and Plant Resistance, Institute of Plant Genetics, Polish Academy of Sciences, Strzeszyńska 34, 60-479, Poznań, Poland.

出版信息

Sci Rep. 2018 Sep 7;8(1):13449. doi: 10.1038/s41598-018-31665-2.

Abstract

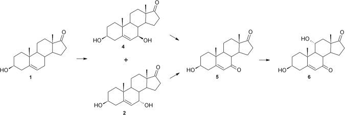
Beauveria bassiana is an entomopathogenic fungus used as a biological control agent. It is a well-known biocatalyst for the transformation of steroid compounds. Hydroxylations at the 7α or 11α position and oxidation to D-homo lactones are described in the literature. In our study, we examined the diversity of metabolism of five different B. bassiana strains and compared them to already known pathways. According to the literature, 7α and 11α-hydroxy derivatives as well as 3β,11α-dihydroxy-17a-oxa-D-homo-androst-5-en-17-one have been observed. Here we describe new DHEA metabolic pathways and two products not described before: 3β-hydroxy-17a-oxa-D-homo-androst-5-en-7,17-dione and 3β,11α-dihydroxyandrost-5-en-7,17-dione. We also used for the first time another species from this genus, Beauveria caledonica, for steroid transformation. DHEA was hydroxylated at the 7α, 7β and 11α positions and then reactions of oxidation and reduction leading to 3β,11α-dihydroxyandrost-5-en-7,17-dione were observed. All tested strains from the Beauveria genus effectively transformed the steroid substrate using several different enzymes, resulting in cascade transformation.

摘要

球孢白僵菌是一种昆虫病原真菌,被用作生物防治剂。它是一种众所周知的甾体化合物转化的生物催化剂。文献中描述了在 7α 或 11α 位置的羟基化和氧化为 D-同型内酯。在我们的研究中,我们研究了五种不同的球孢白僵菌菌株的代谢多样性,并将其与已知的途径进行了比较。根据文献,已经观察到 7α 和 11α-羟基衍生物以及 3β,11α-二羟基-17a-氧代-D-同型雄甾-5-烯-17-酮。在这里,我们描述了新的 DHEA 代谢途径和两种以前未描述的产物:3β-羟基-17a-氧代-D-同型雄甾-5-烯-7,17-二酮和 3β,11α-二羟基雄甾-5-烯-7,17-二酮。我们还首次使用该属的另一种物种,即球孢白僵菌 caledonica,进行甾体转化。DHEA 在 7α、7β 和 11α 位置被羟基化,然后观察到导致 3β,11α-二羟基雄甾-5-烯-7,17-二酮的氧化和还原反应。该属的所有测试菌株都有效地利用几种不同的酶转化甾体底物,从而导致级联转化。

https://cdn.ncbi.nlm.nih.gov/pmc/blobs/3c97/6128828/7c517d0910b7/41598_2018_31665_Fig1_HTML.jpg

文献AI研究员

20分钟写一篇综述,助力文献阅读效率提升50倍。

立即体验

用中文搜PubMed

大模型驱动的PubMed中文搜索引擎

马上搜索

文档翻译

学术文献翻译模型,支持多种主流文档格式。

立即体验