Department of Physiology and Biochemistry, Faculty of Physical Education and Sport in Biała Podlaska, University of Physical Education in Warsaw, Akademicka 2, 21-500 Biała Podlaska, Poland.
Department of Uniformed Services and Combat Sports, University of Physical Education in Warsaw, 00-968 Warszawa, Poland.
Int J Environ Res Public Health. 2018 Sep 20;15(10):2066. doi: 10.3390/ijerph15102066.
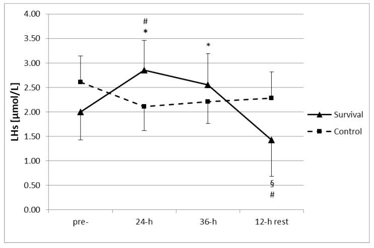
The aim of this study was to analyze changes in oxidative stress and muscle damage markers during a 36-h survival training combined with sleep deprivation. The study included 23 male students of physical education (specialty: Physical Education for Uniformed Services), randomly divided into the survival or control group. The students in the survival group completed a 36-h survival training with moderate to low physical activity, without the possibility to sleep. The students in the control group performed only physical activity included in daily routines and had a normal sleep pattern. No significant changes in measured parameters were seen in the control group throughout the study period. In the survival group, plasma lipid hydroperoxides (LHs) and creatine kinase (CK) activity increased at 24 h and remained elevated up to 36 h (main effects for LHs: time, = 0.006 and group × time, = 0.00008; main effects for CK: time, = 0.000001, group, = 0.005, and group × time, = 0.000001). A 12-h recovery was sufficient to normalize both LHs and CK to the pre-training level; in fact, the post-recovery LHs and CK levels were even lower than at baseline. Residual total antioxidant capacity (TAC) of plasma (without the major constituents: uric acid and albumin) was elevated at both 24 h and 36 h of survival training, but not following a 12-h recovery (main effects: group, = 0.001 and group × time, = 0.04). In turn, the activity of glutathione peroxidase (GPx) in whole blood and superoxide dismutase (SOD) in erythrocytes decreased between 24 h and 36 h of survival training (main group effect for GPx, = 0.038 and SOD, = 0.045). In conclusion, these findings imply that a 36-h survival training with sleep deprivation impairs enzymatic antioxidant defense, increases lipid peroxidation, and induces muscle damage. Our findings also indicate that at least in the case of young physically active men, a 12-h recovery after the 36-h period of physical activity with sleep deprivation may be sufficient for the normalization of oxidative and muscle damage markers and restoration of blood prooxidant-antioxidant homeostasis.
本研究旨在分析 36 小时生存训练结合睡眠剥夺期间氧化应激和肌肉损伤标志物的变化。研究纳入了 23 名男性体育教育专业学生(专业方向为军警体育教育),随机分为生存组或对照组。生存组的学生进行了 36 小时的低中强度生存训练,且没有睡眠的可能。对照组的学生只进行日常活动中的体力活动,且保持正常的睡眠模式。整个研究过程中,对照组的测量参数没有明显变化。在生存组中,血浆脂质过氧化物 (LHs) 和肌酸激酶 (CK) 活性在 24 小时时增加,并持续升高至 36 小时(LHs 的主效应:时间,= 0.006,组×时间,= 0.00008;CK 的主效应:时间,= 0.000001,组,= 0.005,组×时间,= 0.000001)。12 小时的恢复期足以使 LHs 和 CK 恢复到训练前水平;事实上,恢复期后的 LHs 和 CK 水平甚至低于基线水平。血浆总抗氧化能力 (TAC)(不包括主要成分:尿酸和白蛋白)在生存训练的 24 小时和 36 小时均升高,但在 12 小时恢复期后并未升高(主要效应:组,= 0.001,组×时间,= 0.04)。相反,全血谷胱甘肽过氧化物酶 (GPx) 和红细胞超氧化物歧化酶 (SOD) 的活性在生存训练的 24 小时和 36 小时之间下降(GPx 的主要组效应,= 0.038,SOD,= 0.045)。总之,这些发现表明,36 小时的睡眠剥夺生存训练会损害酶抗氧化防御,增加脂质过氧化,并导致肌肉损伤。我们的研究结果还表明,至少在年轻的体力活动男性中,在 36 小时的体力活动和睡眠剥夺后,12 小时的恢复期可能足以使氧化和肌肉损伤标志物恢复正常,并恢复血液促氧化剂-抗氧化剂的平衡。