Suppr超能文献

基于串联质谱(MS/MS)谱图网络分析的微藻介导美托洛尔转化过程中对映体副产物的鉴定

Identification of Enantiomeric Byproducts During Microalgae-Mediated Transformation of Metoprolol by MS/MS Spectrum Based Networking.

作者信息

Lv Min, Lo Ching, Hsu Cheng-Chih, Wang Yuwen, Chiang Yin-Ru, Sun Qian, Wu Yang, Li Yan, Chen Lingxin, Yu Chang-Ping

机构信息

CAS Key Laboratory of Coastal Environmental Processes and Ecological Remediation, Yantai Institute of Coastal Zone Research, Chinese Academy of Sciences, Yantai, China.

Graduate Institute of Environmental Engineering, National Taiwan University, Taipei, Taiwan.

出版信息

Front Microbiol. 2018 Sep 7;9:2115. doi: 10.3389/fmicb.2018.02115. eCollection 2018.

Abstract

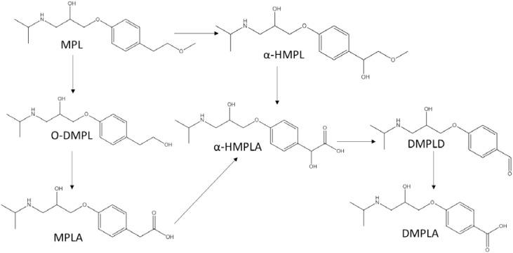
Metoprolol (MPL) is a chiral β-blocker ubiquitously detected in various environments due to its low to moderate removal in wastewater treatment plants. This study was conducted to test the potential of using microalgae to degrade emerging contaminant MPL and to characterize the enantiomeric enrichment during MPL degradation by microalgae. The results showed that PO- P, NO- N and MPL could be simultaneously removed in the synthetic effluent by the targeted microalgae species, indicating microalgae were promising in wastewater treatment. Stereoselectivity was observed during MPL degradation by microalgae, with R-form enrichment. A marginal linear relationship between MPL degradation and enantiomeric enrichment was observed, implying that the enantiomeric tool, used as a quantitative indicator of biodegradation, could possibly be applied in MPL degradation by microalgae. An efficient liquid chromatograph tandem high resolution mass spectrometry (LC-HRMS/MS) chiral analytical method was developed to identify transformation products (TPs). The results showed that MS/MS spectral similarity networking could be used as a powerful tool to quickly identify unknown TPs. A total of 6 pairs of chiral TPs were identified, among which two new TPs of MPL including hydroxy{4-[2-hydroxy-3-(isopropylamino)propoxy]phenyl}acetic acid (α-HMPLA) and 4-[2-Hydroxy-3-(isopropylamino)propoxy]benzaldehyde (DMPLD) were firstly reported, and proposed transformation pathways of MPL by microalgae were given. Considering the paired TPs detected and that the degradation of the two enantiomers followed first order kinetics, the two enantiomers likely had the same degradation mechanism.

摘要

美托洛尔(MPL)是一种手性β受体阻滞剂,由于其在污水处理厂中的去除率较低至中等,因此在各种环境中都能普遍检测到。本研究旨在测试利用微藻降解新兴污染物MPL的潜力,并表征微藻降解MPL过程中的对映体富集情况。结果表明,目标微藻物种能够同时去除合成废水中的PO-P、NO-N和MPL,这表明微藻在废水处理方面具有广阔前景。在微藻降解MPL的过程中观察到了立体选择性,R型对映体得到富集。观察到MPL降解与对映体富集之间存在微弱的线性关系,这意味着用作生物降解定量指标的对映体工具可能适用于微藻降解MPL的过程。开发了一种高效液相色谱串联高分辨率质谱(LC-HRMS/MS)手性分析方法来鉴定转化产物(TPs)。结果表明,MS/MS光谱相似性网络可作为快速鉴定未知TPs的有力工具。共鉴定出6对手性TPs,其中首次报道了MPL的两种新TPs,即羟基{4-[2-羟基-3-(异丙基氨基)丙氧基]苯基}乙酸(α-HMPLA)和4-[2-羟基-3-(异丙基氨基)丙氧基]苯甲醛(DMPLD),并给出了微藻对MPL的拟转化途径。考虑到检测到的成对TPs以及两种对映体的降解遵循一级动力学,两种对映体可能具有相同的降解机制。

https://cdn.ncbi.nlm.nih.gov/pmc/blobs/e002/6137207/54f9122354c9/fmicb-09-02115-g001.jpg

文献AI研究员

20分钟写一篇综述,助力文献阅读效率提升50倍。

立即体验

用中文搜PubMed

大模型驱动的PubMed中文搜索引擎

马上搜索

文档翻译

学术文献翻译模型,支持多种主流文档格式。

立即体验