Department of Chemistry and Cosmetics, Jeju National University, Jeju 63243, Korea.
JejuIndi Inc., Seogwipo-si, Jeju 63635, Korea.
Int J Mol Sci. 2018 Sep 24;19(10):2895. doi: 10.3390/ijms19102895.
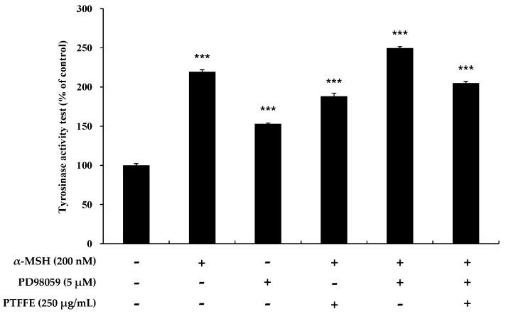
This study was carried out to investigate the antimelanogenic effects of a flower extract obtained using red nuruk, a traditional Jeju barley-based fermentation starter. We also studied the mechanism of action of the fermented flower extract (PTFFE) in mouse melanoma cells (B16F10). Cells were treated with various concentrations (62.5, 125 and 250 μg/mL) of PTFFE and the results showed that PTFFE significantly decreased the melanin content and tyrosinase activity without being cytotoxic. In addition, PTFFE strongly inhibited the expression of tyrosinase and tyrosinase-related protein 2 by decreasing the expression of the microphthalmia-associated transcription factor, as shown by a western blot assay. Furthermore, PTFFE inhibited melanogenesis via upregulation of the phosphorylation of extracellular signal-regulated kinase (ERK) and protein kinase B, also known as AKT. We also used inhibitors such as PD98059 (a specific ERK inhibitor) or LY294002 (an AKT inhibitor) to determine whether the signaling pathways are involved. High-performance liquid chromatography fingerprinting showed the presence of a quercetin glucoside (isoquercitrin) and quercetin in PTFFE. To test the potential for PTFFE application as a cosmetic material, we also performed a primary skin irritation test on human skin. In this assay, PTFFE did not induce any adverse reactions at the treatment dose. Based on these results, we suggest that PTFFE may be considered a potential antimelanogenesis candidate for topical applications.
这项研究旨在探讨使用传统济州大麦发酵起始剂红曲制成的花提取物的抗黑色素生成作用。我们还研究了发酵花提取物(PTFFE)在小鼠黑色素瘤细胞(B16F10)中的作用机制。用不同浓度(62.5、125 和 250 μg/mL)的 PTFFE 处理细胞,结果表明 PTFFE 可显著降低黑色素含量和酪氨酸酶活性,而无细胞毒性。此外,PTFFE 通过降低小眼畸形相关转录因子的表达,强烈抑制酪氨酸酶和酪氨酸酶相关蛋白 2 的表达,Western blot 分析结果显示。此外,PTFFE 通过上调细胞外信号调节激酶(ERK)和蛋白激酶 B(也称为 AKT)的磷酸化来抑制黑色素生成。我们还使用抑制剂(例如 PD98059(一种特定的 ERK 抑制剂)或 LY294002(一种 AKT 抑制剂))来确定信号通路是否参与其中。高效液相色谱指纹图谱显示 PTFFE 中存在槲皮素葡萄糖苷(异槲皮苷)和槲皮素。为了测试 PTFFE 作为化妆品材料的应用潜力,我们还对人体皮肤进行了初步皮肤刺激性试验。在该试验中,PTFFE 在治疗剂量下不会引起任何不良反应。基于这些结果,我们认为 PTFFE 可能被认为是一种潜在的用于局部应用的抗黑色素生成候选物。