Suppr超能文献

根据 ISO 14243,输入方向的变化对膝关节假体磨损的影响。

The impact of variations in input directions according to ISO 14243 on wearing of knee prostheses.

机构信息

School of Biological Science and Medical Engineering, Beihang University, Beijing, China.

Beijing Medical Implant Engineering Research Center, Beijing Naton Technology Group Co.LTD, Beijing, China.

出版信息

PLoS One. 2018 Oct 29;13(10):e0206496. doi: 10.1371/journal.pone.0206496. eCollection 2018.

Abstract

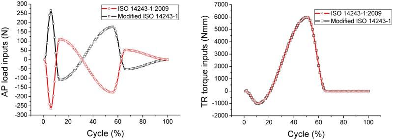
ISO 14243 is the governing standard for wear testing of knee prostheses, but there is controversy over the correct direction of anterior-posterior (AP) displacement and loading and the correct direction of tibial rotation (TR) angles and torque. This study aimed to analyze how altering the direction of AP and TR affected wear on the tibial insert. Modifications to the conditions specified in ISO 14243-1 and ISO 14243-3 were also proposed. As such, five loading conditions were applied to FEA models of a knee prosthesis: (1) Modified ISO 14243-3 with positive AP displacement and TR angle, (2) ISO 14243-3:2004 with negative AP displacement and positive TR angle, (3) ISO 14243-3:2014 with positive AP displacement and negative TR angle, (4) Modified ISO 14243-1 with positive AP load and TR torque, and (5) ISO 14243-1:2009 with negative AP load and positive TR torque. This study found that changing the input directions for AP and TR according to ISO 14243-1 and 14243-3 had an influence on the wear rate and wear contours on the tibial insert model. However, the extent of wear varies depending on the design features of the tibial insert and shape of the input curves. For displacement control according to ISO 14243-3, changing the direction of AP displacement had a marked influence on the wear rate (272.77%), but changing the direction of TR angle had a much lower impact (2.17%). For load control according to ISO 14243-1, reversing the AP load (ISO 14243-1:2009) only increased the wear rate by 6.73% in comparison to the modified ISO 14243-1 conditions. The clinical relevance of this study is that the results demonstrate that tibial wear is affected by the direction of application of AP and TR. Incorrect application of the loading conditions during the design stage may lead to an ineffective preclinical evaluation and could subsequently influence implant longevity in clinical use.

摘要

ISO 14243 是膝关节假体磨损测试的主导标准,但对于前-后(AP)位移和加载的正确方向以及胫骨旋转(TR)角度和扭矩的正确方向存在争议。本研究旨在分析改变 AP 和 TR 的方向如何影响胫骨插入物的磨损。还提出了对 ISO 14243-1 和 ISO 14243-3 中规定条件的修改。因此,五种加载条件应用于膝关节假体的有限元分析模型:(1)具有正 AP 位移和 TR 角度的修改后的 ISO 14243-3,(2)具有负 AP 位移和正 TR 角度的 ISO 14243-3:2004,(3)具有正 AP 位移和负 TR 角度的 ISO 14243-3:2014,(4)具有正 AP 负载和 TR 扭矩的修改后的 ISO 14243-1,以及(5)具有负 AP 负载和正 TR 扭矩的 ISO 14243-1:2009。本研究发现,根据 ISO 14243-1 和 14243-3 改变 AP 和 TR 的输入方向会影响胫骨插入物模型的磨损率和磨损轮廓。然而,磨损程度取决于胫骨插入物的设计特征和输入曲线的形状。对于根据 ISO 14243-3 进行的位移控制,改变 AP 位移的方向对磨损率有明显影响(272.77%),但改变 TR 角度的方向影响要小得多(2.17%)。对于根据 ISO 14243-1 进行的负载控制,与修改后的 ISO 14243-1 条件相比,反转 AP 负载(ISO 14243-1:2009)仅将磨损率增加了 6.73%。本研究的临床意义在于,结果表明胫骨磨损受 AP 和 TR 应用方向的影响。在设计阶段不正确地应用加载条件可能导致无效的临床前评估,并随后影响植入物在临床使用中的寿命。

https://cdn.ncbi.nlm.nih.gov/pmc/blobs/740d/6205607/6b4e19f804b7/pone.0206496.g001.jpg

文献AI研究员

20分钟写一篇综述,助力文献阅读效率提升50倍。

立即体验

用中文搜PubMed

大模型驱动的PubMed中文搜索引擎

马上搜索

文档翻译

学术文献翻译模型,支持多种主流文档格式。

立即体验