Department of Biological Science and Technology, College of Biopharmaceutical and Food Sciences, China Medical University, Taichung 40402, Taiwan.
Department of Life Sciences, College of Science, National University of Kaohsiung, Kaohsiung 811, Taiwan.
Oxid Med Cell Longev. 2018 Oct 8;2018:3939714. doi: 10.1155/2018/3939714. eCollection 2018.
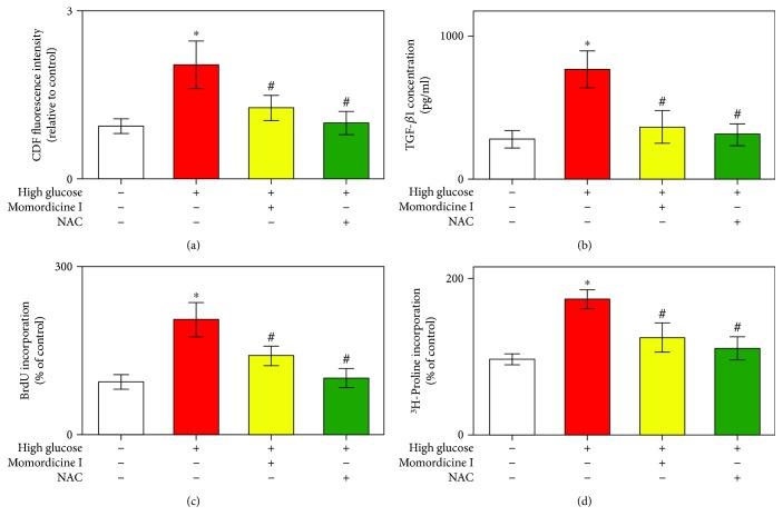
Diabetes-associated cardiac fibrosis is a severe cardiovascular complication. Momordicine I, a bioactive triterpenoid isolated from bitter melon, has been demonstrated to have antidiabetic properties. This study investigated the effects of momordicine I on high-glucose-induced cardiac fibroblast activation. Rat cardiac fibroblasts were cultured in a high-glucose (25 mM) medium in the absence or presence of momordicine I, and the changes in collagen synthesis, transforming growth factor-1 (TGF-1) production, and related signaling molecules were assessed. Increased oxidative stress plays a critical role in the development of high-glucose-induced cardiac fibrosis; we further explored momordicine I's antioxidant activity and its effect on fibroblasts. Our data revealed that a high-glucose condition promoted fibroblast proliferation and collagen synthesis and these effects were abolished by momordicine I (0.3 and 1 M) pretreatment. Furthermore, the inhibitory effect of momordicine I on high-glucose-induced fibroblast activation may be associated with its activation of nuclear factor erythroid 2-related factor 2 (Nrf2) and the inhibition of reactive oxygen species formation, TGF-1 production, and Smad2/3 phosphorylation. The addition of brusatol (a selective inhibitor of Nrf2) or Nrf2 siRNA significantly abolished the inhibitory effect of momordicine I on fibroblast activation. Our findings revealed that the antifibrotic effect of momordicine I was mediated, at least partially, by the inhibition of the TGF-1/Smad pathway, fibroblast proliferation, and collagen synthesis through Nrf2 activation. Thus, this work provides crucial insights into the molecular pathways for the clinical application of momordicine I for treating diabetes-associated cardiac fibrosis.
糖尿病相关的心脏纤维化是一种严重的心血管并发症。从苦瓜中分离得到的生物活性三萜 Momordicine I 已被证明具有抗糖尿病作用。本研究旨在探讨 Momordicine I 对高糖诱导的心肌成纤维细胞激活的影响。将大鼠心肌成纤维细胞在高糖(25mM)培养基中培养,分别在有无 Momordicine I 的情况下,评估胶原合成、转化生长因子-1(TGF-1)产生及相关信号分子的变化。研究表明,氧化应激增加在高糖诱导的心脏纤维化发展中起着关键作用;我们进一步探讨了 Momordicine I 的抗氧化活性及其对成纤维细胞的影响。研究数据显示,高糖条件促进了成纤维细胞的增殖和胶原合成,Momordicine I(0.3 和 1M)预处理可消除这些作用。此外,Momordicine I 对高糖诱导的成纤维细胞激活的抑制作用可能与其激活核因子红细胞 2 相关因子 2(Nrf2)和抑制活性氧形成、TGF-1 产生以及 Smad2/3 磷酸化有关。加入 Brusatol(Nrf2 的选择性抑制剂)或 Nrf2 siRNA 可显著消除 Momordicine I 对成纤维细胞激活的抑制作用。研究结果表明,Momordicine I 的抗纤维化作用至少部分是通过抑制 TGF-1/Smad 通路、成纤维细胞增殖和胶原合成来介导的,其机制与 Nrf2 激活有关。因此,这项研究为 Momordicine I 治疗糖尿病相关心脏纤维化的临床应用提供了重要的分子途径见解。