Suppr超能文献

将终端速度纳入大气边界层颗粒扩散拉格朗日随机模型中。

Incorporating terminal velocities into Lagrangian stochastic models of particle dispersal in the atmospheric boundary layer.

机构信息

Rothamsted Research, Harpenden, Hertfordshire, AL5 2JQ, UK.

出版信息

Sci Rep. 2018 Nov 15;8(1):16843. doi: 10.1038/s41598-018-34924-4.

Abstract

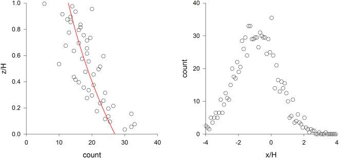
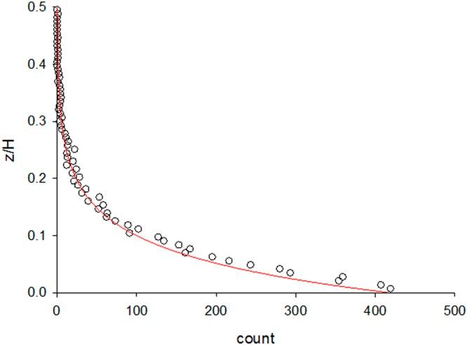
Lagrangian stochastic models for simulation of tracer-particle trajectories in turbulent flows can be adapted for simulation of particle trajectories. This is conventionally done by replacing the zero-mean fall speed of a tracer-particle with the terminal speed of the particle. Such models have been used widely to predict spore and pollen dispersal. Here I show that this modification predicts that particles become uniformly distributed throughout the air column, which is at variance with the seminal experimental studies of Hirst et al. (1967) that demonstrated spore concentrations (and pollen concentrations) declined exponentially with height in unstable air. This discrepancy arises because the terminal speed, which is a Lagrangian property of a particle, has always been treated as if it were an Eulerian property of an ensemble of particles. In this study models are formulated correctly. I show that the mean acceleration of a tracer-particle should be replaced by the mean acceleration of a particle. Model predictions for aerial density profiles then agreed with the observations of Hirst et al. (1967) and with observations of ground-level concentrations but differed significantly from predictions obtained using conventional models. In accordance with the results of numerical simulations, the models also predict that particles are moving downwind marginally more slowly than the wind itself. Finally, the new modelling approach can be extended to predict the dispersal of small insects with active flight behaviours.

摘要

拉格朗日随机模型可用于模拟湍流中示踪粒子轨迹,也可用于模拟粒子轨迹。传统做法是将示踪粒子的零均值降落速度替换为粒子的终端速度。此类模型已广泛用于预测孢子和花粉的扩散。本文表明,这种修改预测粒子会在整个空气柱中均匀分布,这与 Hirst 等人(1967 年)开创性的实验研究结果不一致,后者表明在不稳定的空气中,孢子浓度(和花粉浓度)随高度呈指数下降。这种差异源于终端速度,它是粒子的拉格朗日性质,但一直被视为粒子总体的欧拉性质。在本研究中,模型的构建是正确的。本文表明,应将示踪粒子的平均加速度替换为粒子的平均加速度。然后,模型对空中密度分布的预测与 Hirst 等人(1967 年)的观测结果以及地面浓度观测结果一致,但与使用传统模型获得的预测结果有显著差异。与数值模拟结果一致,模型还预测粒子顺风移动的速度比风本身略慢。最后,新的建模方法可以扩展到预测具有主动飞行行为的小型昆虫的扩散。

https://cdn.ncbi.nlm.nih.gov/pmc/blobs/908e/6237984/69cb00b7e250/41598_2018_34924_Fig1_HTML.jpg

文献AI研究员

20分钟写一篇综述,助力文献阅读效率提升50倍。

立即体验

用中文搜PubMed

大模型驱动的PubMed中文搜索引擎

马上搜索

文档翻译

学术文献翻译模型,支持多种主流文档格式。

立即体验